Официальное опубликование правовых актов
ОФИЦИАЛЬНОЕ ОПУБЛИКОВАНИЕ
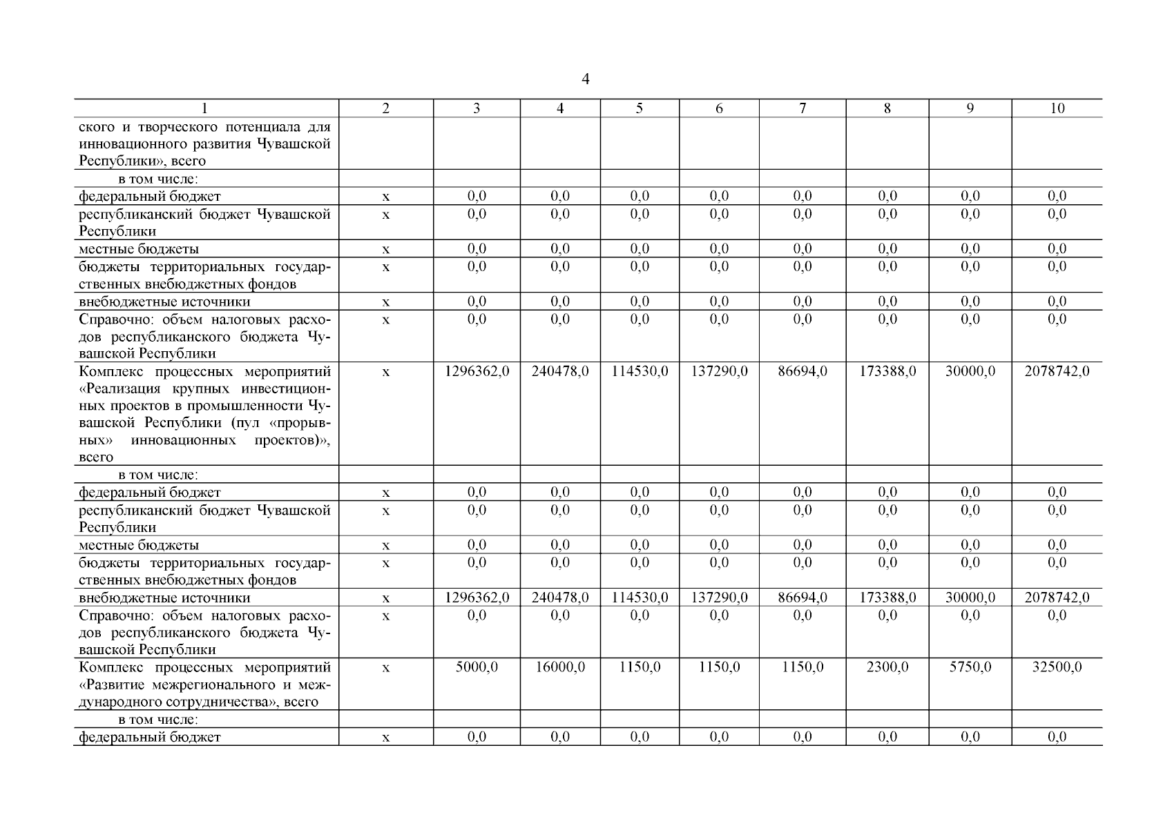
Постановление Кабинета Министров Чувашской Республики от 08.10.2025 № 559
"О внесении изменений в государственную программу Чувашской Республики "Развитие промышленности и инновационная экономика"
Номер опубликования: 2100202510100017
Дата опубликования: 10.10.2025
Страница №5 из 25:
Увеличить