Официальное опубликование правовых актов
ОФИЦИАЛЬНОЕ ОПУБЛИКОВАНИЕ
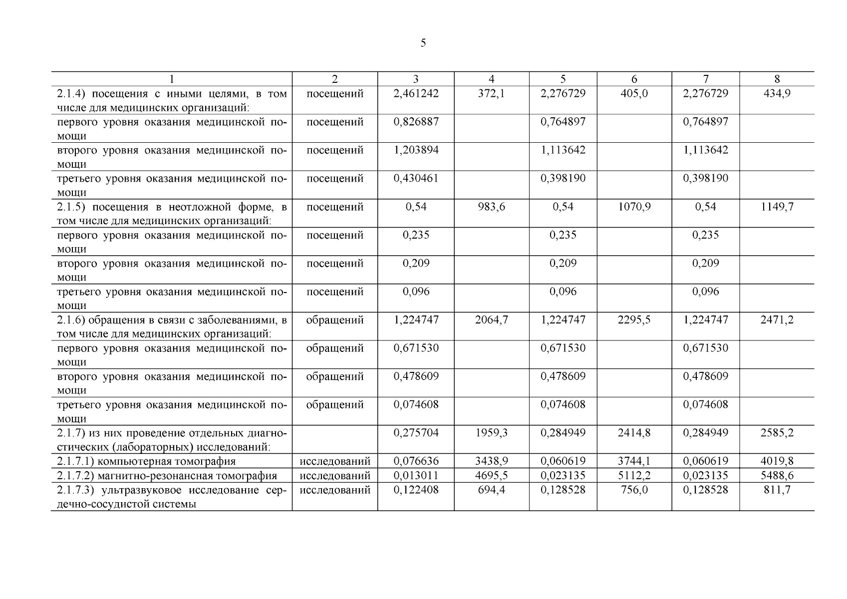
Постановление Кабинета Министров Чувашской Республики от 08.10.2025 № 560
"О внесении изменений в Программу государственных гарантий бесплатного оказания гражданам в Чувашской Республике медицинской помощи на 2025 год и на плановый период 2026 и 2027 годов"
Номер опубликования: 2100202510100016
Дата опубликования: 10.10.2025
Страница №6 из 91:
Увеличить