Официальное опубликование правовых актов
ОФИЦИАЛЬНОЕ ОПУБЛИКОВАНИЕ
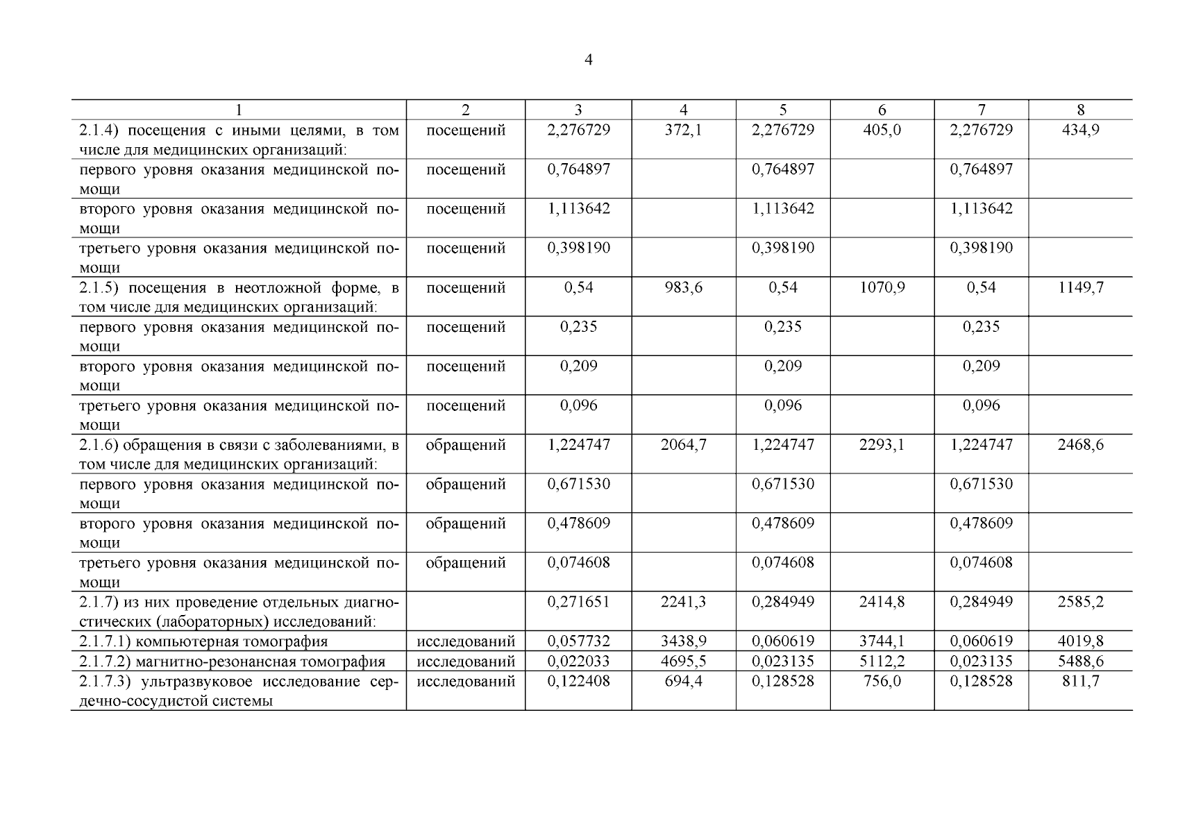
Постановление Кабинета Министров Чувашской Республики от 28.05.2025 № 301
"О внесении изменений в Программу государственных гарантий бесплатного оказания гражданам в Чувашской Республике медицинской помощи на 2025 год и на плановый период 2026 и 2027 годов"
Номер опубликования: 2100202505290016
Дата опубликования: 29.05.2025
Страница №5 из 108:
Увеличить