Официальное опубликование правовых актов
ОФИЦИАЛЬНОЕ ОПУБЛИКОВАНИЕ
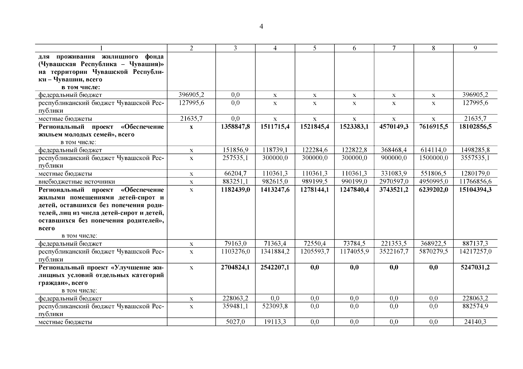
Постановление Кабинета Министров Чувашской Республики от 27.05.2025 № 296
"О внесении изменений в государственную программу Чувашской Республики "Обеспечение граждан в Чувашской Республике доступным и комфортным жильем"
Номер опубликования: 2100202505290005
Дата опубликования: 29.05.2025
Страница №5 из 41:
Увеличить