Официальное опубликование правовых актов
ОФИЦИАЛЬНОЕ ОПУБЛИКОВАНИЕ
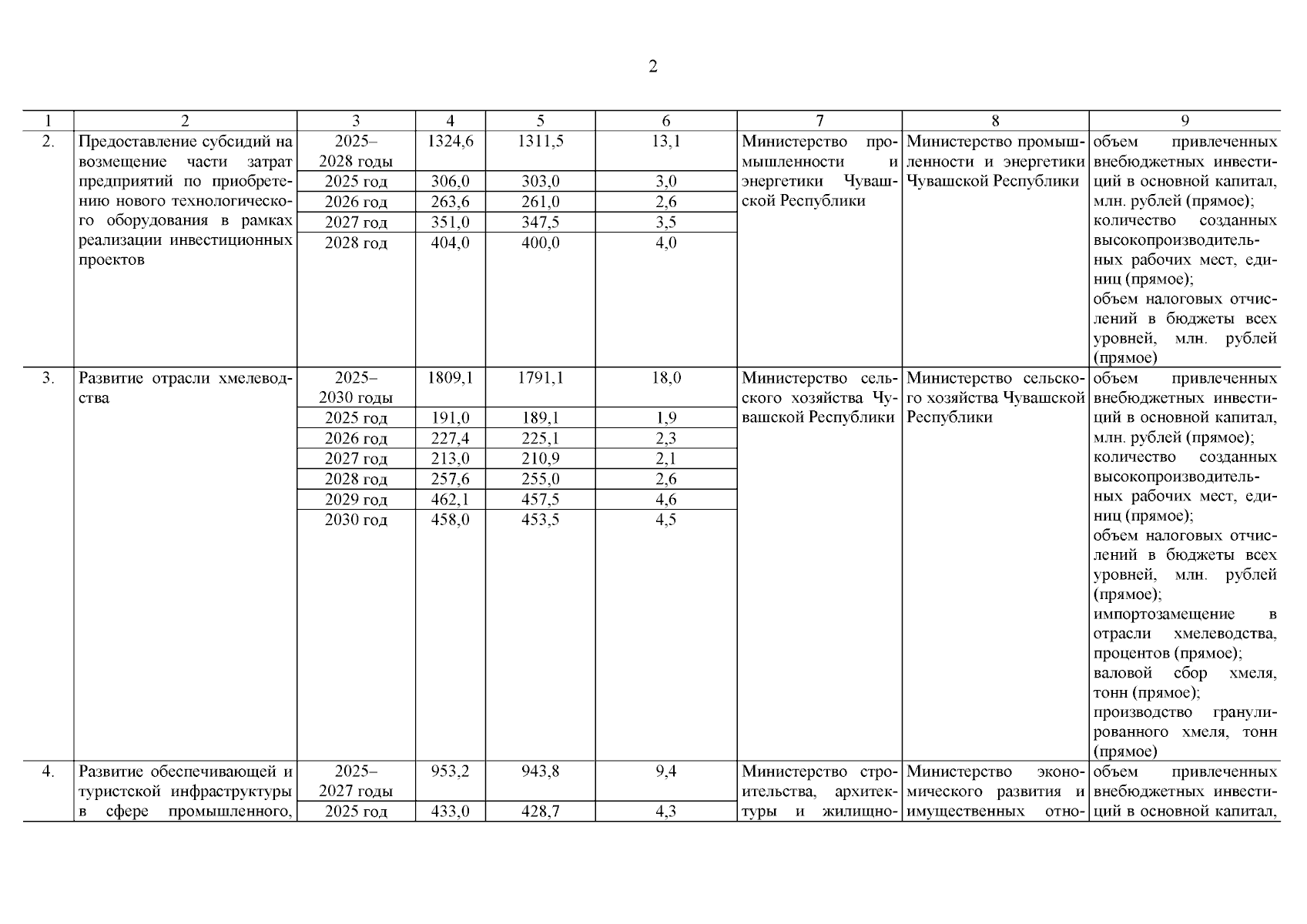
Постановление Кабинета Министров Чувашской Республики от 16.05.2025 № 282
"О порядке реализации мероприятий индивидуальной программы социально-экономического развития Чувашской Республики на 2025–2030 годы"
Номер опубликования: 2100202505190001
Дата опубликования: 19.05.2025
Страница №8 из 9:
Увеличить