Официальное опубликование правовых актов
ОФИЦИАЛЬНОЕ ОПУБЛИКОВАНИЕ
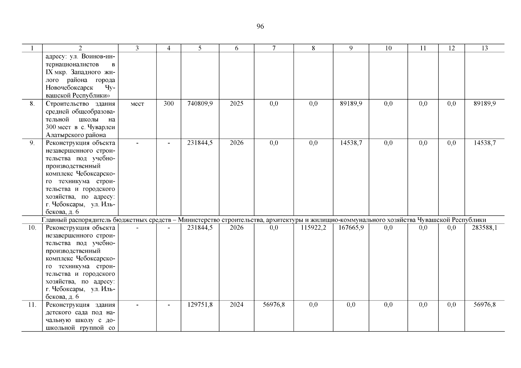
Постановление Кабинета Министров Чувашской Республики от 29.04.2025 № 238
"О внесении изменений в государственную программу Чувашской Республики "Развитие образования"
Номер опубликования: 2100202504300001
Дата опубликования: 30.04.2025
Страница №97 из 100:
Увеличить