Официальное опубликование правовых актов
ОФИЦИАЛЬНОЕ ОПУБЛИКОВАНИЕ
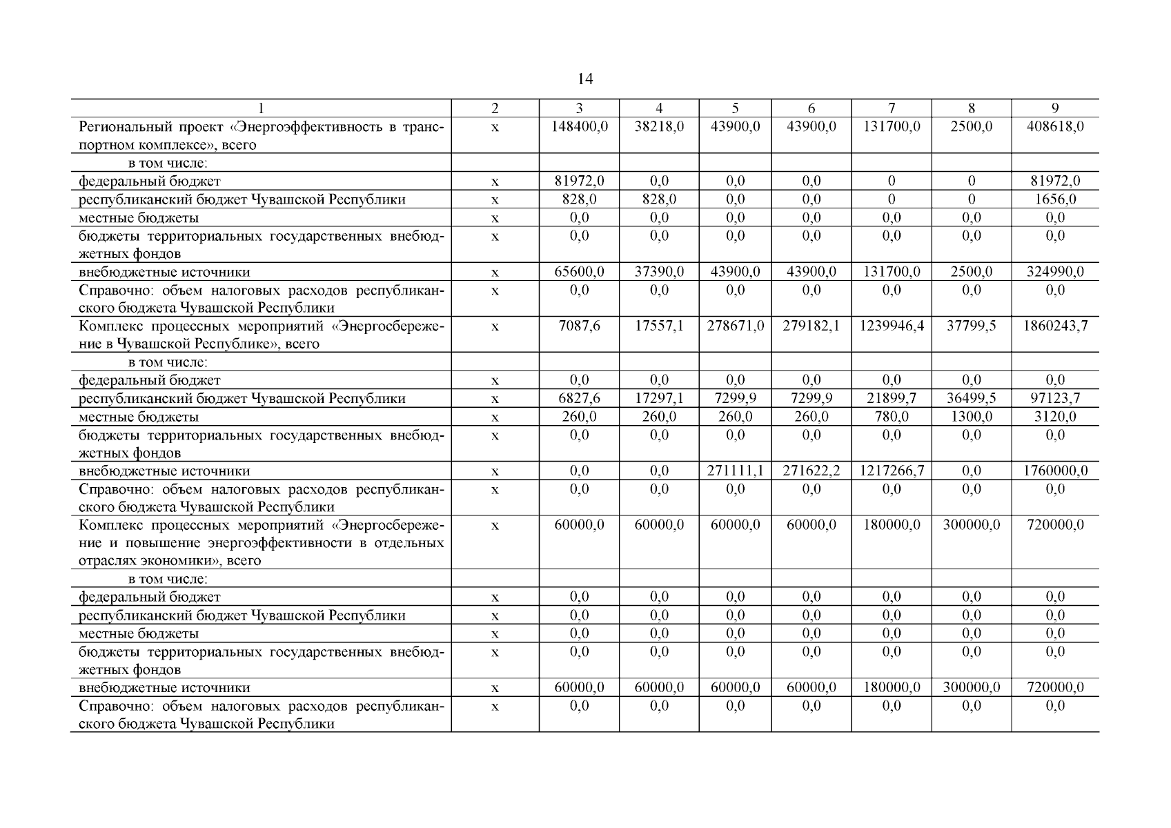
Постановление Кабинета Министров Чувашской Республики от 09.04.2025 № 195
"О внесении изменений в государственную программу Чувашской Республики "Развитие промышленности и инновационная экономика"
Номер опубликования: 2100202504100016
Дата опубликования: 10.04.2025
Страница №15 из 49:
Увеличить