Официальное опубликование правовых актов
ОФИЦИАЛЬНОЕ ОПУБЛИКОВАНИЕ
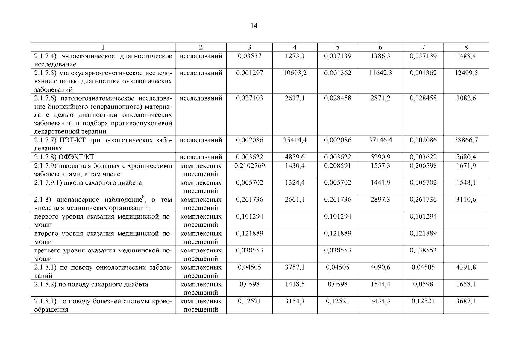
Постановление Кабинета Министров Чувашской Республики от 17.03.2025 № 144
"О внесении изменений в Программу государственных гарантий бесплатного оказания гражданам в Чувашской Республике медицинской помощи на 2025 год и на плановый период 2026 и 2027 годов"
Номер опубликования: 2100202503180003
Дата опубликования: 18.03.2025
Страница №15 из 353:
Увеличить