Официальное опубликование правовых актов
ОФИЦИАЛЬНОЕ ОПУБЛИКОВАНИЕ
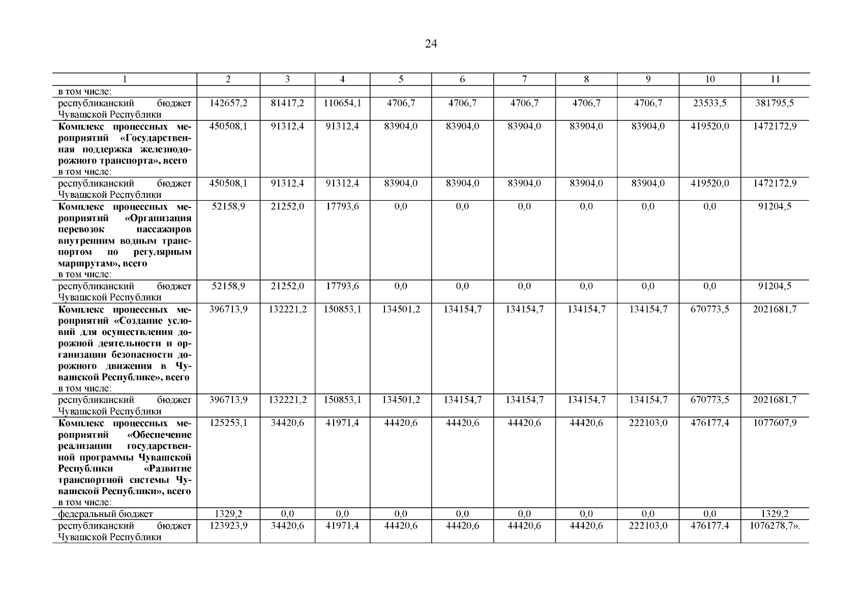
Постановление Кабинета Министров Чувашской Республики от 29.01.2025 № 33
"О внесении изменений в государственную программу Чувашской Республики "Развитие транспортной системы Чувашской Республики"
Номер опубликования: 2100202501310003
Дата опубликования: 31.01.2025
Страница №25 из 72:
Увеличить