Официальное опубликование правовых актов
ОФИЦИАЛЬНОЕ ОПУБЛИКОВАНИЕ
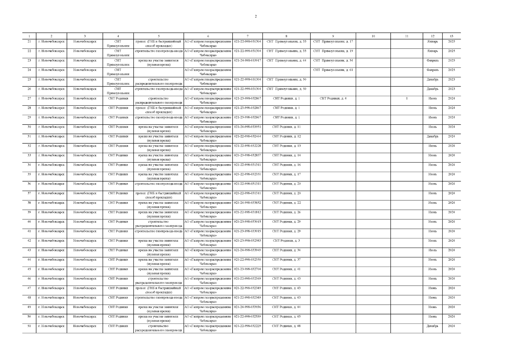
Постановление Кабинета Министров Чувашской Республики от 28.12.2024 № 806
"Об утверждении региональной программы "Газификация жилищно-коммунального хозяйства, промышленных и иных организаций Чувашской Республики"
Номер опубликования: 2100202501010027
Дата опубликования: 01.01.2025
Страница №619 из 631:
Увеличить