Официальное опубликование правовых актов
ОФИЦИАЛЬНОЕ ОПУБЛИКОВАНИЕ
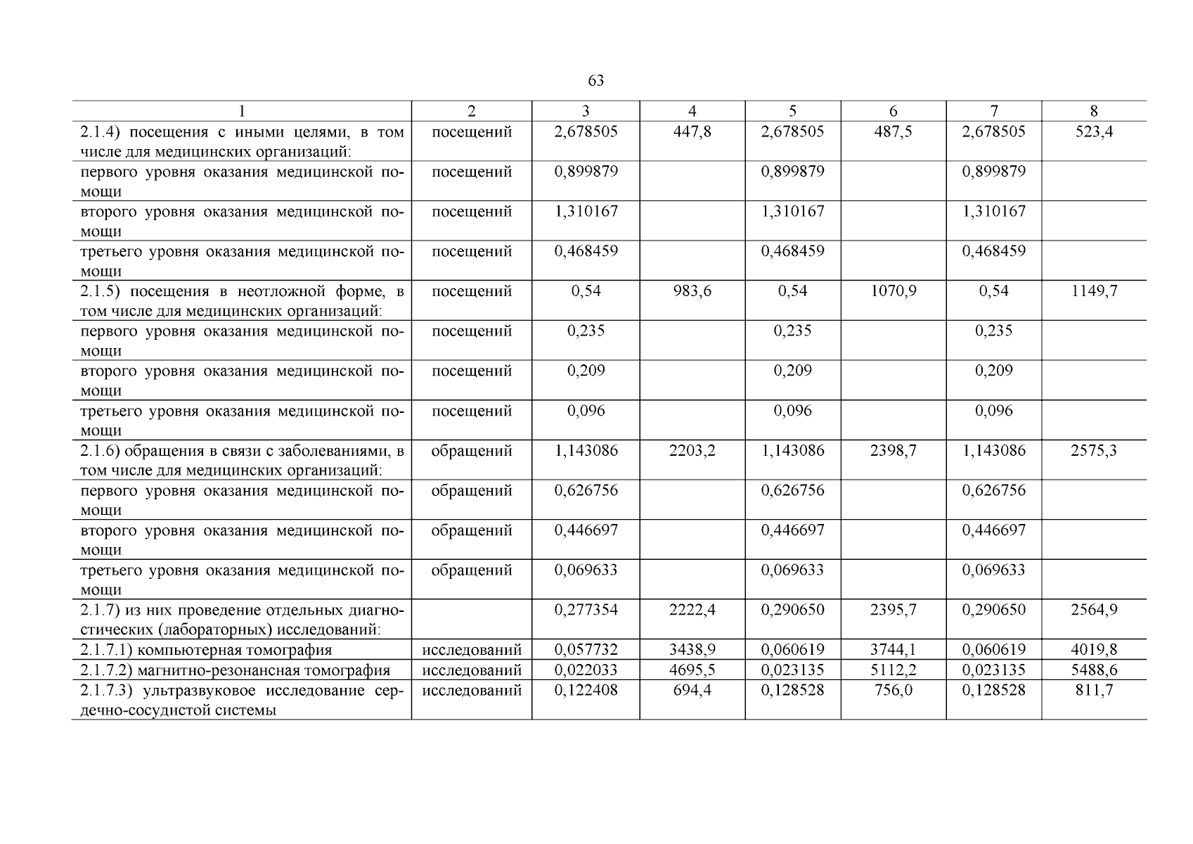
Постановление Кабинета Министров Чувашской Республики от 27.12.2024 № 777
"О Программе государственных гарантий бесплатного оказания гражданам в Чувашской Республике медицинской помощи на 2025 год и на плановый период 2026 и 2027 годов"
Номер опубликования: 2100202412280002
Дата опубликования: 28.12.2024
Страница №64 из 540:
Увеличить