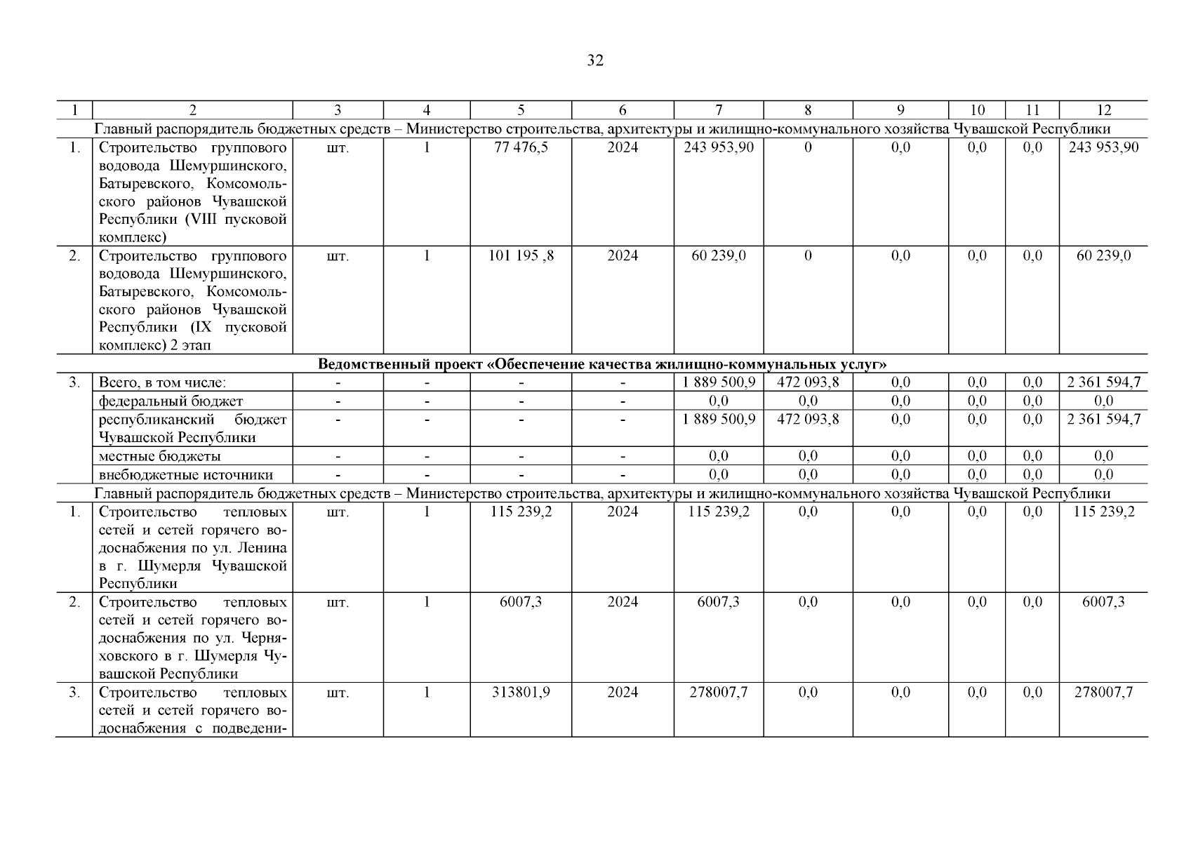
Постановление Кабинета Министров Чувашской Республики от 11.12.2024 № 690
"О внесении изменений в государственную программу Чувашской Республики "Модернизация и развитие сферы жилищно-коммунального хозяйства"
"О внесении изменений в государственную программу Чувашской Республики "Модернизация и развитие сферы жилищно-коммунального хозяйства"
Номер опубликования: 2100202412120005
Дата опубликования:
12.12.2024
