Официальное опубликование правовых актов
ОФИЦИАЛЬНОЕ ОПУБЛИКОВАНИЕ
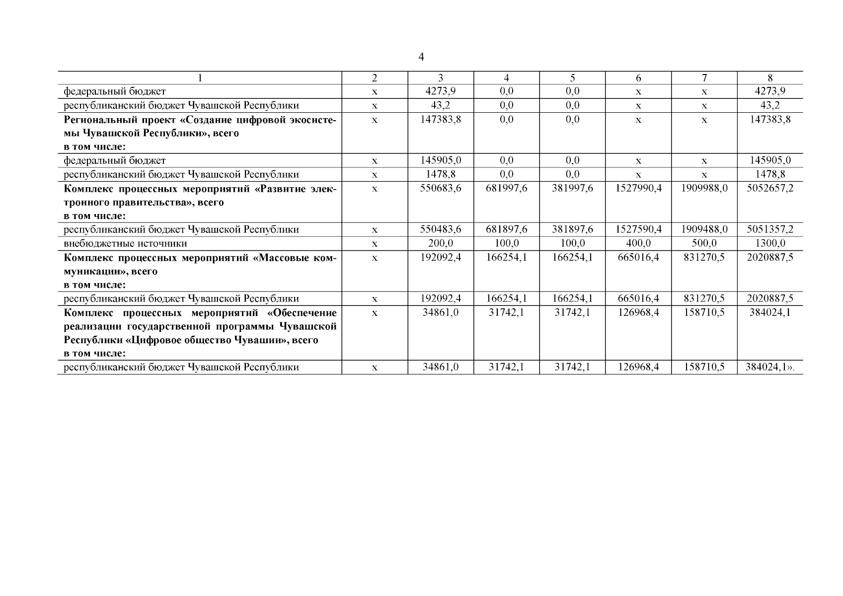
Постановление Кабинета Министров Чувашской Республики от 22.11.2024 № 643
"О внесении изменений в государственную программу Чувашской Республики "Цифровое общество Чувашии"
Номер опубликования: 2100202411220004
Дата опубликования: 22.11.2024
Страница №5 из 12:
Увеличить