Официальное опубликование правовых актов
ОФИЦИАЛЬНОЕ ОПУБЛИКОВАНИЕ
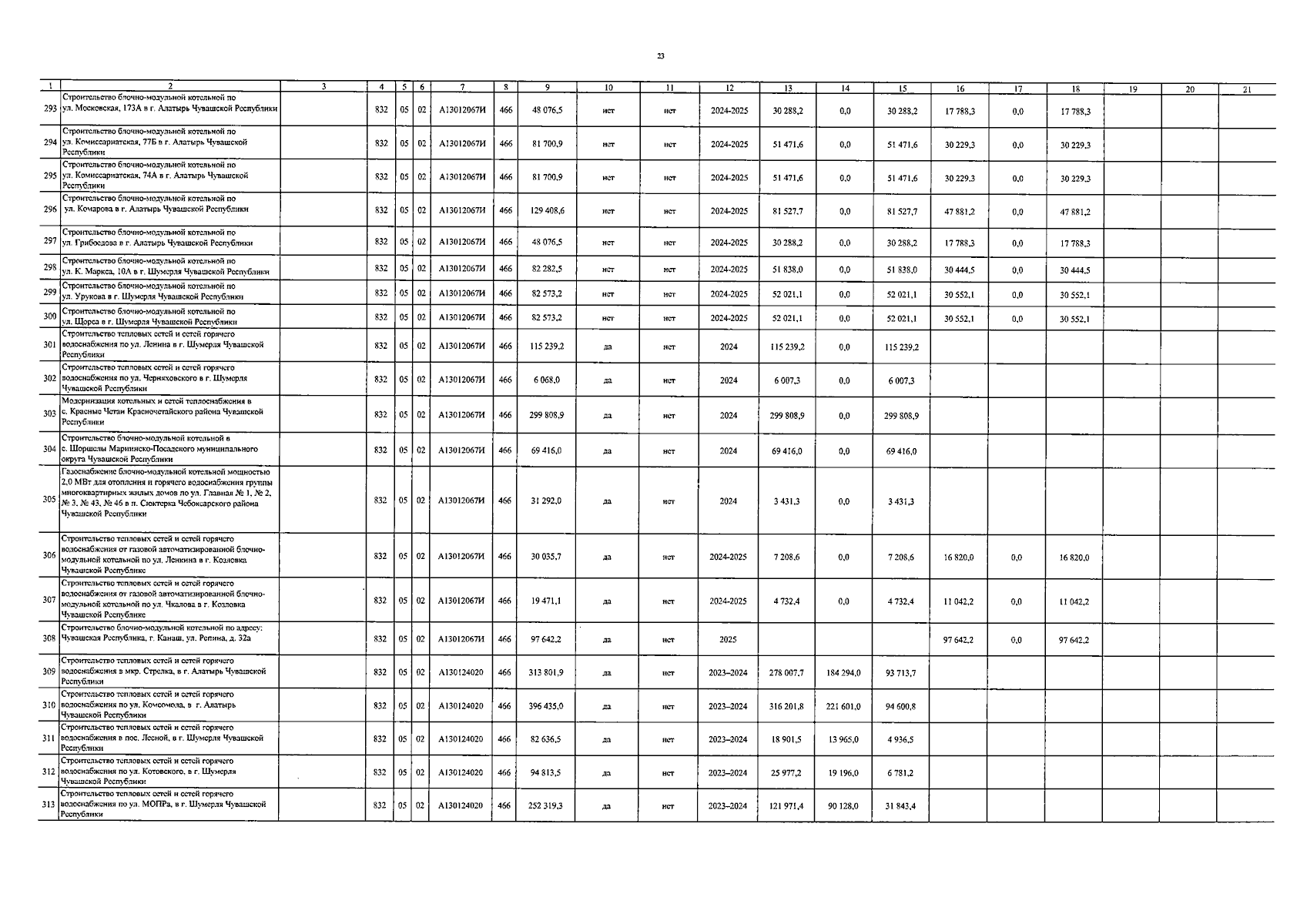
Постановление Кабинета Министров Чувашской Республики от 01.11.2024 № 603
"О внесении изменения в Республиканскую адресную инвестиционную программу на 2024 год и на плановый период 2025 и 2026 годов"
Номер опубликования: 2100202411050002
Дата опубликования: 05.11.2024
Страница №24 из 28:
Увеличить