Официальное опубликование правовых актов
ОФИЦИАЛЬНОЕ ОПУБЛИКОВАНИЕ
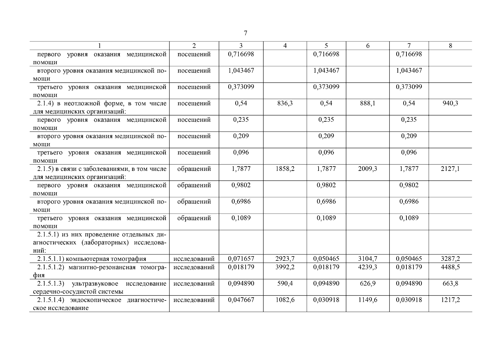
Постановление Кабинета Министров Чувашской Республики от 09.10.2024 № 558
"О внесении изменений в Программу государственных гарантий бесплатного оказания гражданам в Чувашской Республике медицинской помощи на 2024 год и на плановый период 2025 и 2026 годов"
Номер опубликования: 2100202410100002
Дата опубликования: 10.10.2024
Страница №8 из 100:
Увеличить