Официальное опубликование правовых актов
ОФИЦИАЛЬНОЕ ОПУБЛИКОВАНИЕ
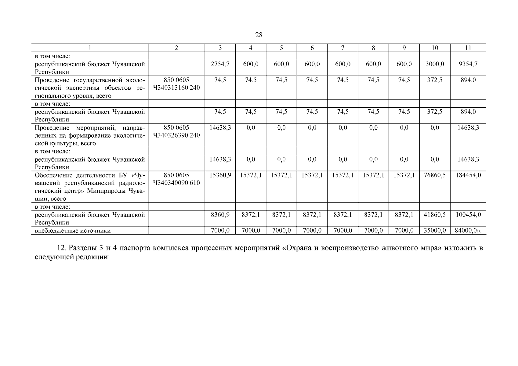
Постановление Кабинета Министров Чувашской Республики от 28.06.2024 № 358
"О внесении изменений в государственную программу Чувашской Республики "Развитие потенциала природно-сырьевых ресурсов и обеспечение экологической безопасности"
Номер опубликования: 2100202407020001
Дата опубликования: 02.07.2024
Страница №29 из 84:
Увеличить