Официальное опубликование правовых актов
ОФИЦИАЛЬНОЕ ОПУБЛИКОВАНИЕ
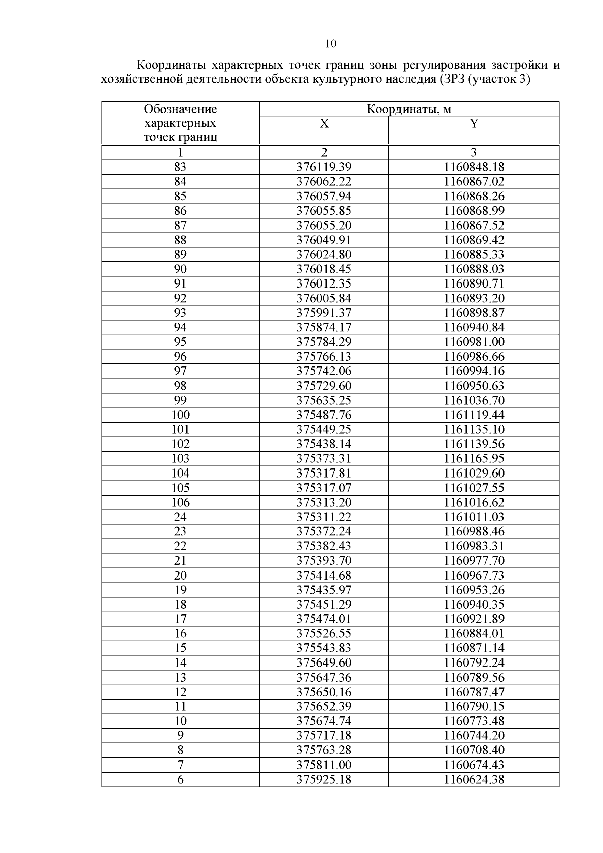
Постановление Кабинета Министров Чувашской Республики от 26.06.2024 № 353
"Об установлении зон охраны объекта культурного наследия (памятника истории и культуры) регионального (республиканского) значения "Здание церкви (каменное)", начало XX в., и утверждении требований к градостроительным регламентам в границах территорий данных зон"
Номер опубликования: 2100202406270018
Дата опубликования: 27.06.2024
Страница №11 из 24:
Увеличить