Официальное опубликование правовых актов
ОФИЦИАЛЬНОЕ ОПУБЛИКОВАНИЕ
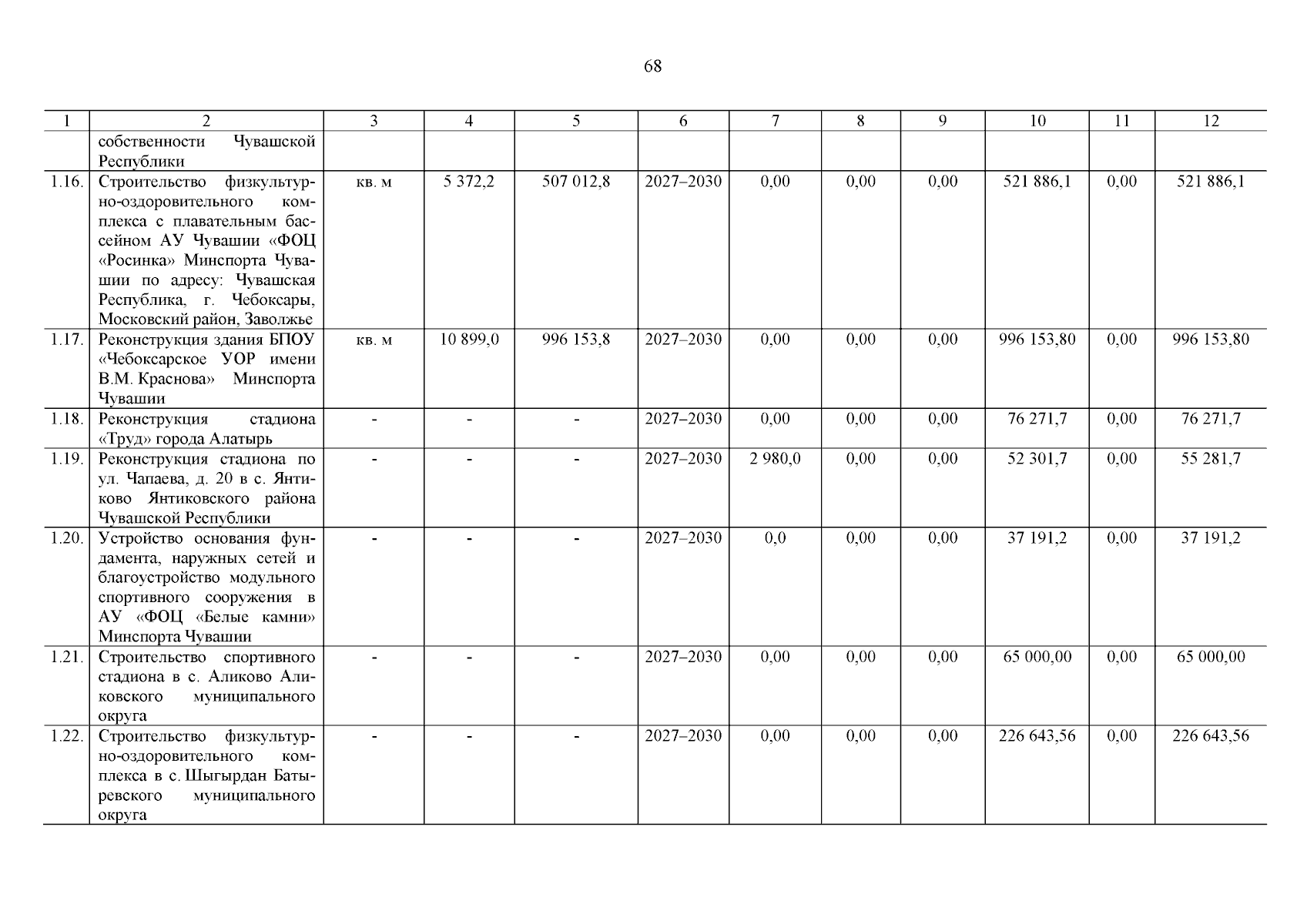
Постановление Кабинета Министров Чувашской Республики от 30.05.2024 № 297
"О внесении изменений в государственную программу Чувашской Республики "Развитие физической культуры и спорта"
Номер опубликования: 2100202405310007
Дата опубликования: 31.05.2024
Страница №69 из 70:
Увеличить