Официальное опубликование правовых актов
ОФИЦИАЛЬНОЕ ОПУБЛИКОВАНИЕ
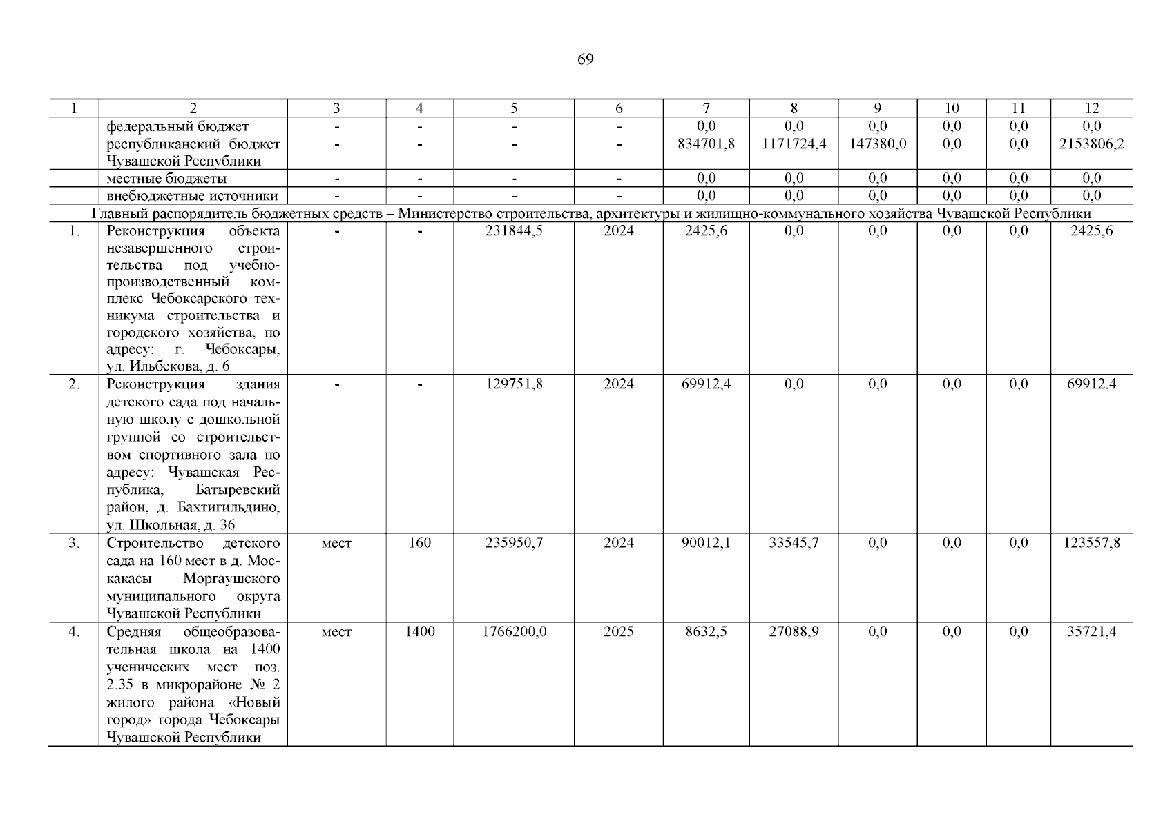
Постановление Кабинета Министров Чувашской Республики от 03.05.2024 № 237
"О внесении изменений в государственную программу Чувашской Республики "Развитие образования"
Номер опубликования: 2100202405060001
Дата опубликования: 06.05.2024
Страница №70 из 72:
Увеличить