Официальное опубликование правовых актов
ОФИЦИАЛЬНОЕ ОПУБЛИКОВАНИЕ
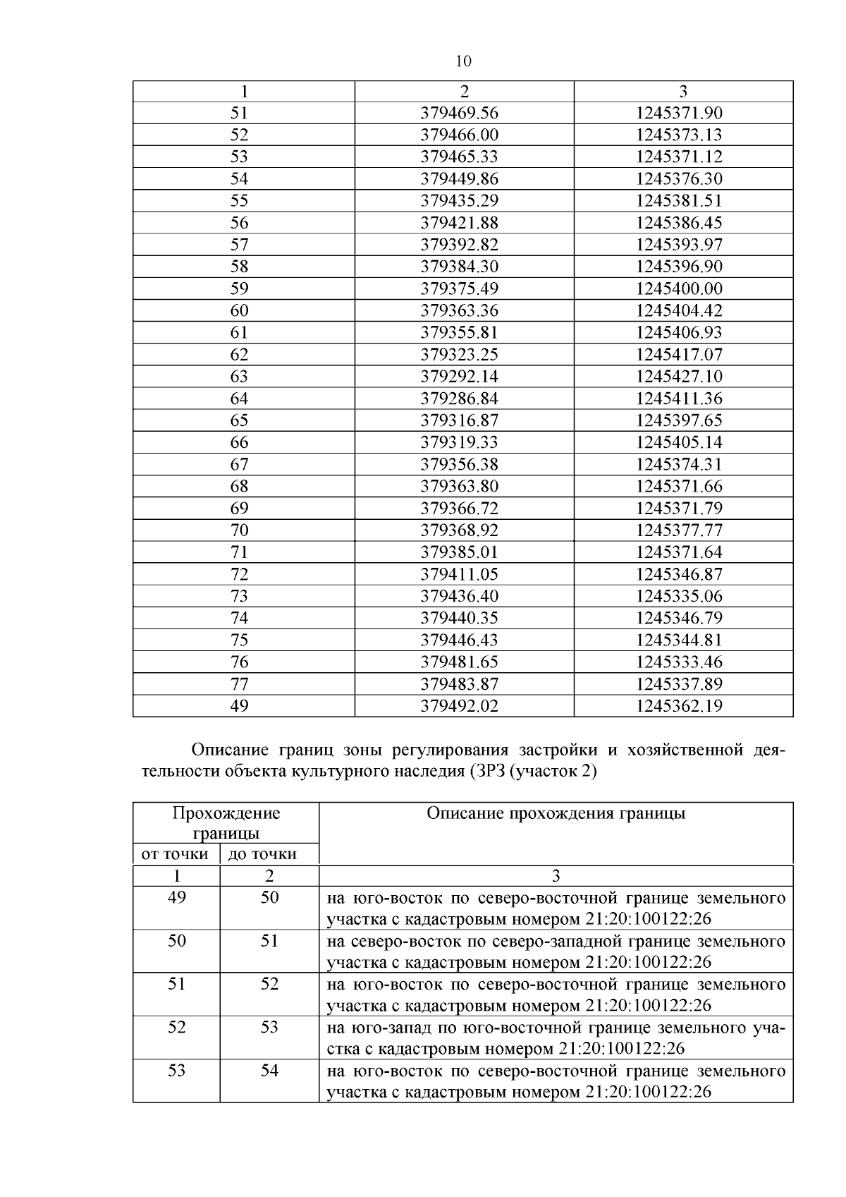
Постановление Кабинета Министров Чувашской Республики от 27.03.2024 № 142
"Об установлении зон охраны объекта культурного наследия (памятника истории и культуры) регионального (республиканского) значения "Деревянный двухэтажный жилой дом", II половина XIX в., и утверждении требований к градостроительным регламентам в границах территорий данных зон"
Номер опубликования: 2100202404010019
Дата опубликования: 01.04.2024
Страница №12 из 19:
Увеличить