Официальное опубликование правовых актов
ОФИЦИАЛЬНОЕ ОПУБЛИКОВАНИЕ
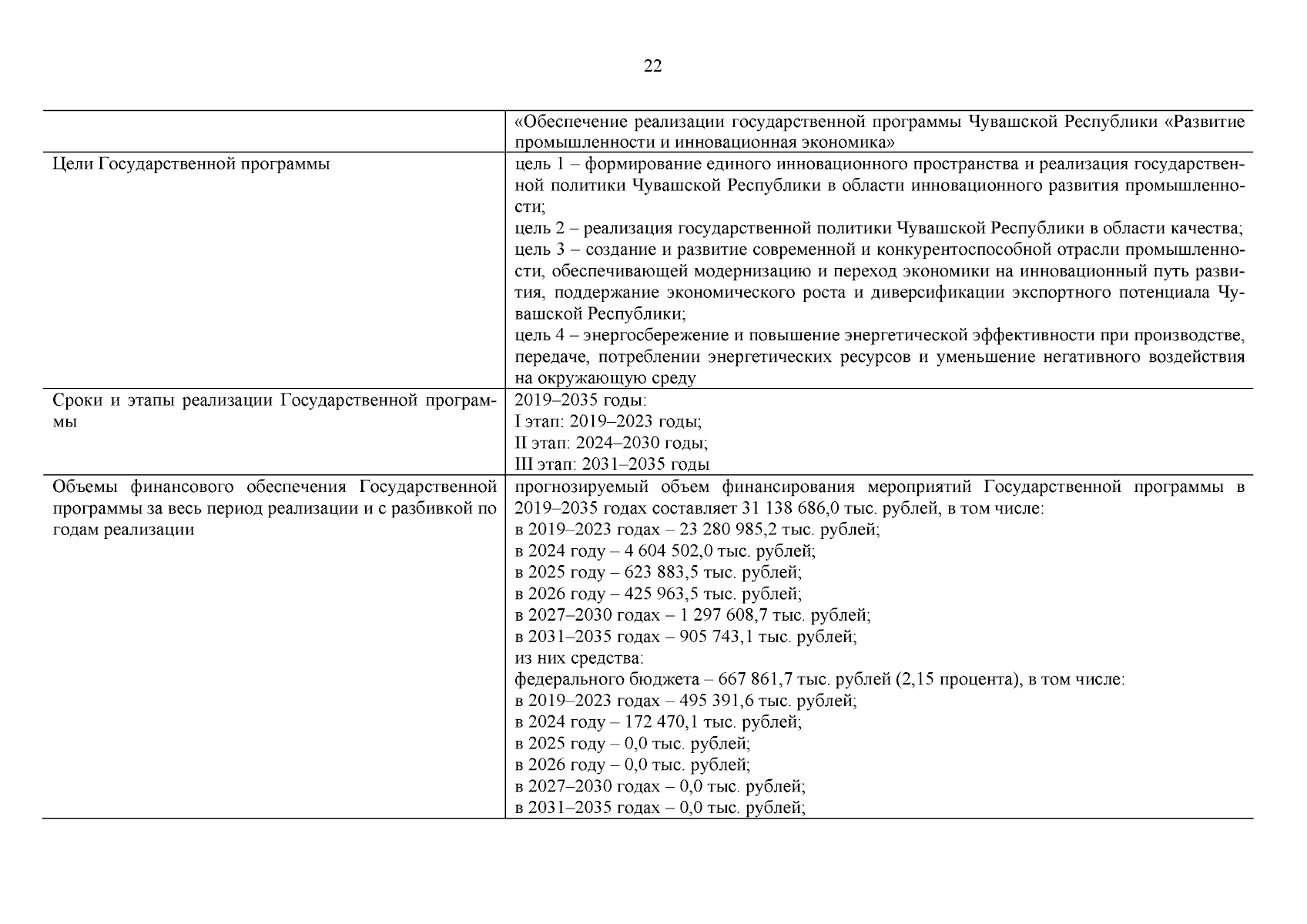
Постановление Кабинета Министров Чувашской Республики от 29.12.2023 № 891
"О внесении изменений в государственную программу Чувашской Республики "Развитие промышленности и инновационная экономика"
Номер опубликования: 2100202312310011
Дата опубликования: 31.12.2023
Страница №23 из 147:
Увеличить