Официальное опубликование правовых актов
ОФИЦИАЛЬНОЕ ОПУБЛИКОВАНИЕ
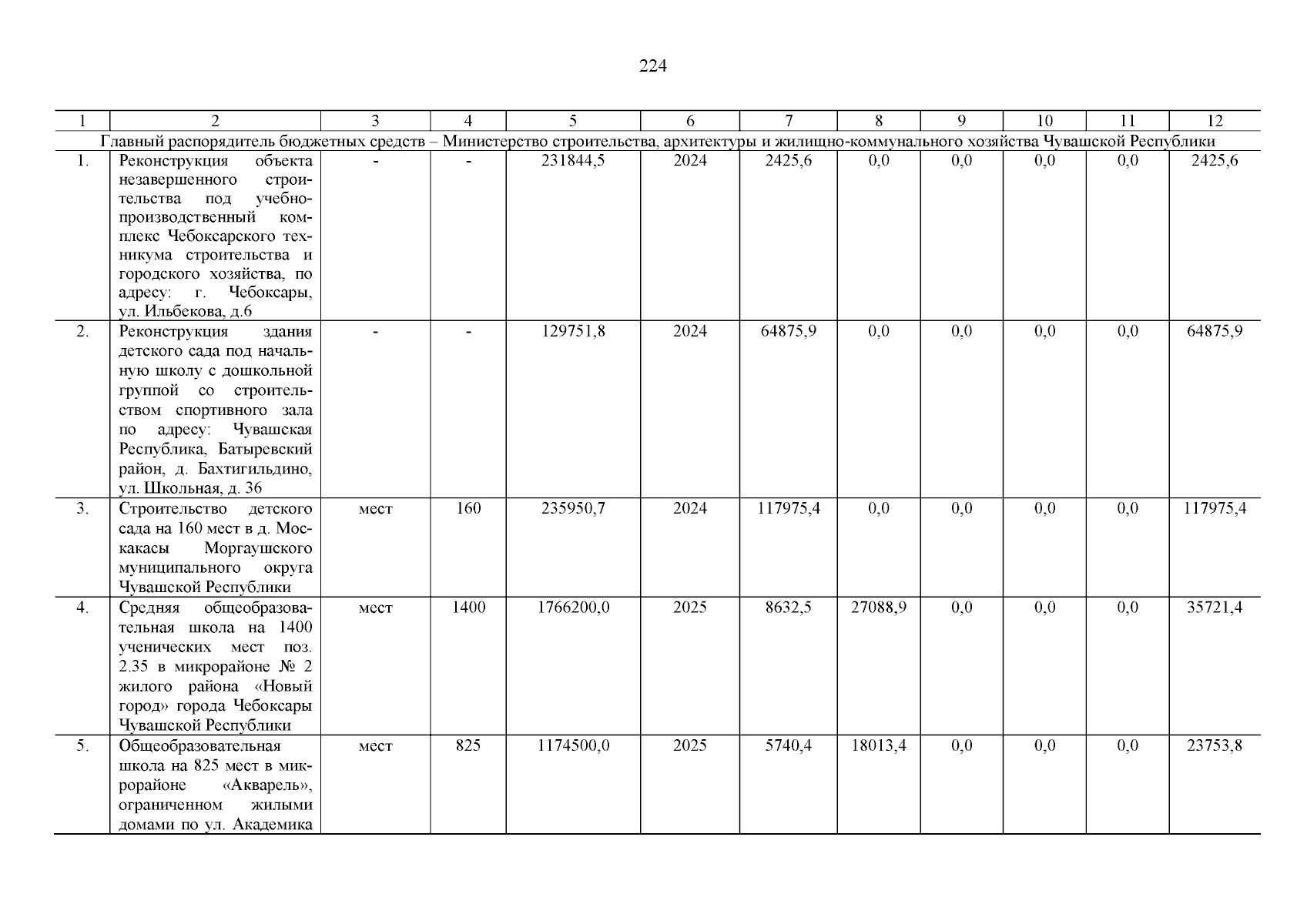
Постановление Кабинета Министров Чувашской Республики от 27.12.2023 № 886
"О внесении изменений в государственную программу Чувашской Республики "Развитие образования"
Номер опубликования: 2100202312310004
Дата опубликования: 31.12.2023
Страница №225 из 226:
Увеличить