Официальное опубликование правовых актов
ОФИЦИАЛЬНОЕ ОПУБЛИКОВАНИЕ
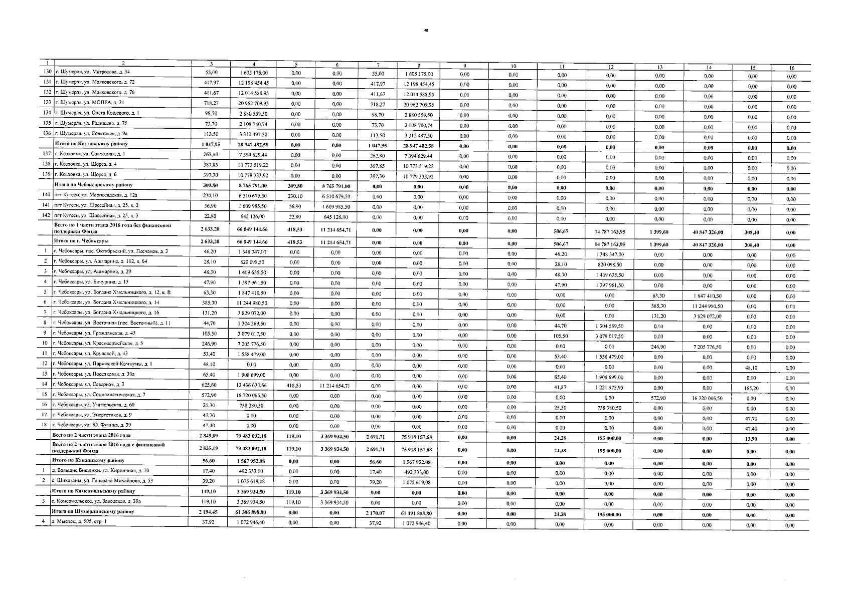
Постановление Кабинета Министров Чувашской Республики от 25.12.2023 № 838
"О внесении изменений в республиканскую адресную программу "Переселение граждан из аварийного жилищного фонда, расположенного на территории Чувашской Республики" на 2013–2017 годы"
Номер опубликования: 2100202312270012
Дата опубликования: 27.12.2023
Страница №49 из 66:
Увеличить