Официальное опубликование правовых актов
ОФИЦИАЛЬНОЕ ОПУБЛИКОВАНИЕ
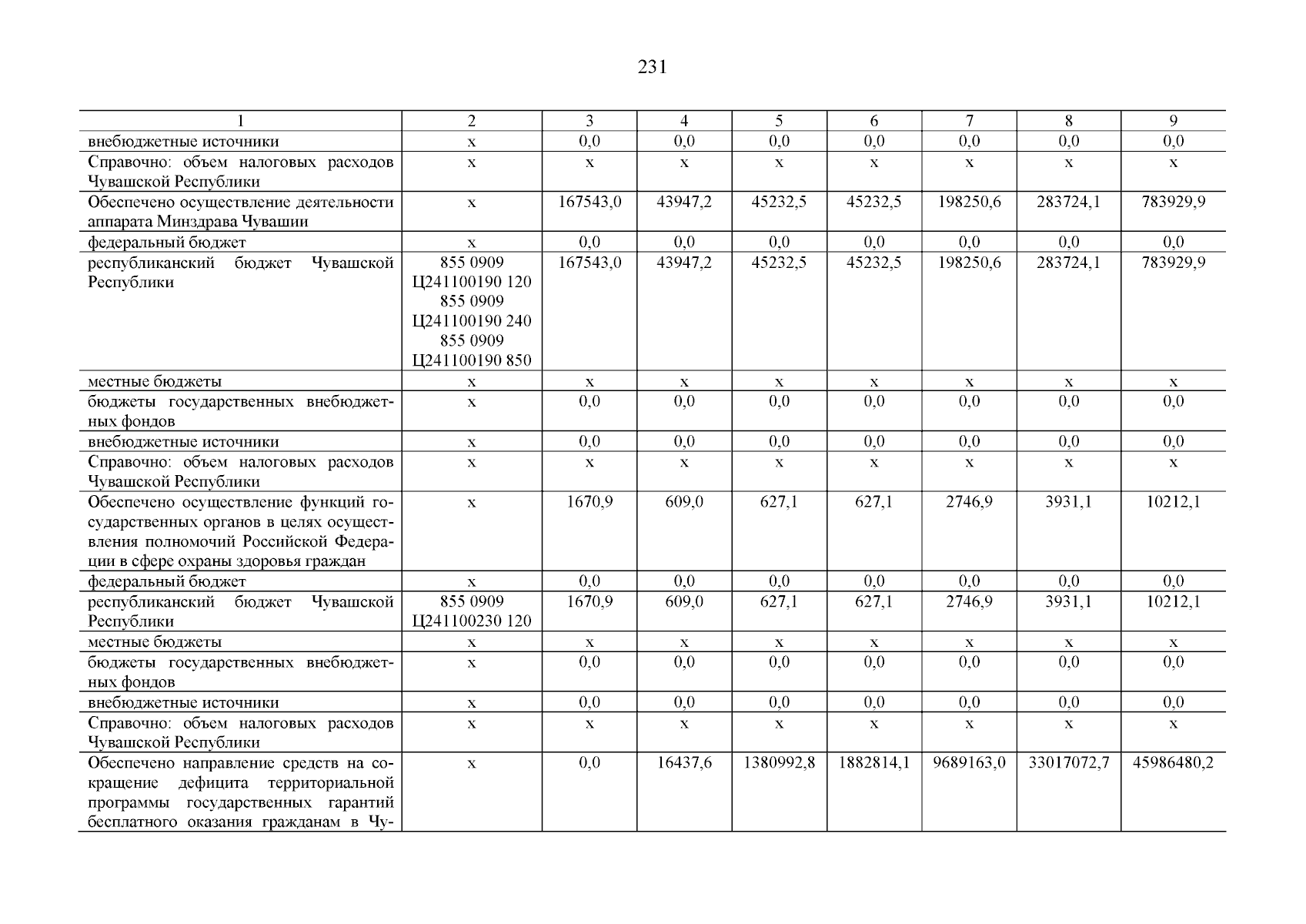
Постановление Кабинета Министров Чувашской Республики от 25.12.2023 № 830
"О внесении изменений в государственную программу Чувашской Республики "Развитие здравоохранения"
Номер опубликования: 2100202312270001
Дата опубликования: 27.12.2023
Страница №232 из 241:
Увеличить