Официальное опубликование правовых актов
ОФИЦИАЛЬНОЕ ОПУБЛИКОВАНИЕ
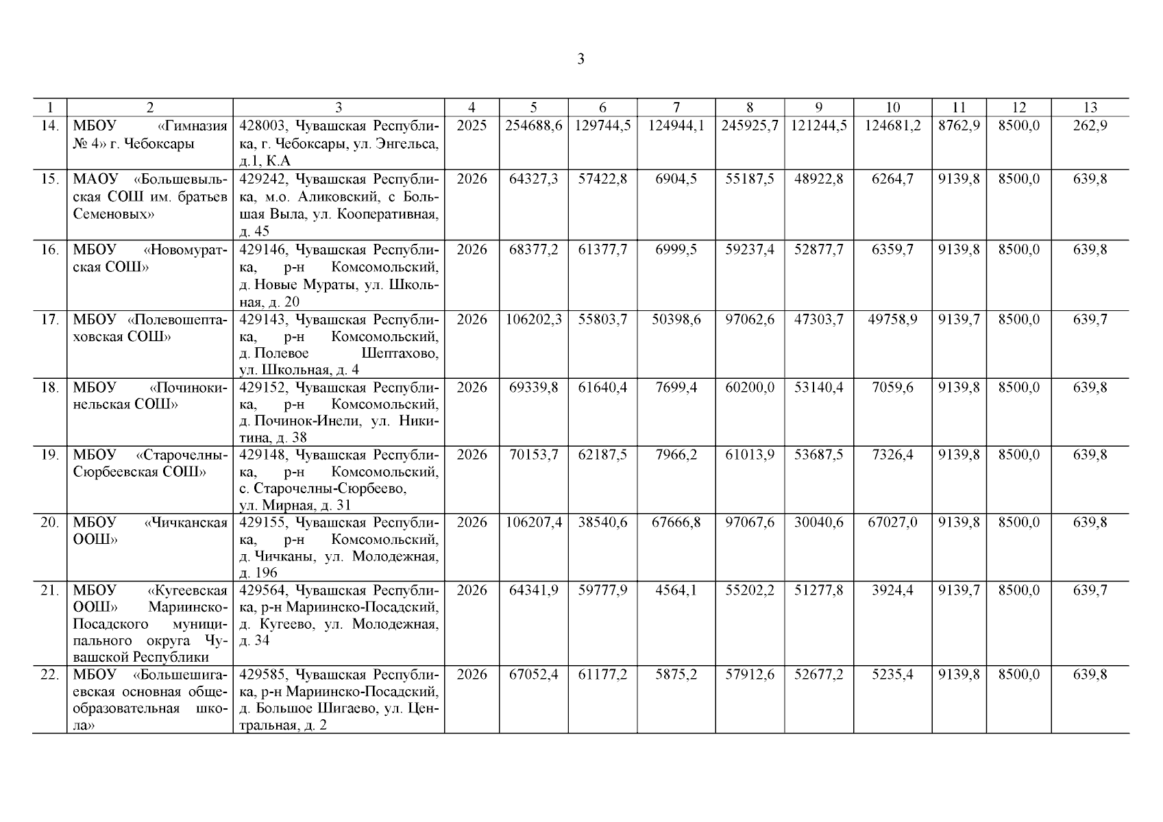
Постановление Кабинета Министров Чувашской Республики от 21.12.2023 № 819
"Об утверждении перечня государственных (муниципальных) общеобразовательных организаций в Чувашской Республике, в которых планируется модернизация школьных систем образования в 2024–2026 годах"
Номер опубликования: 2100202312250021
Дата опубликования: 25.12.2023
Страница №4 из 7:
Увеличить