Официальное опубликование правовых актов
ОФИЦИАЛЬНОЕ ОПУБЛИКОВАНИЕ
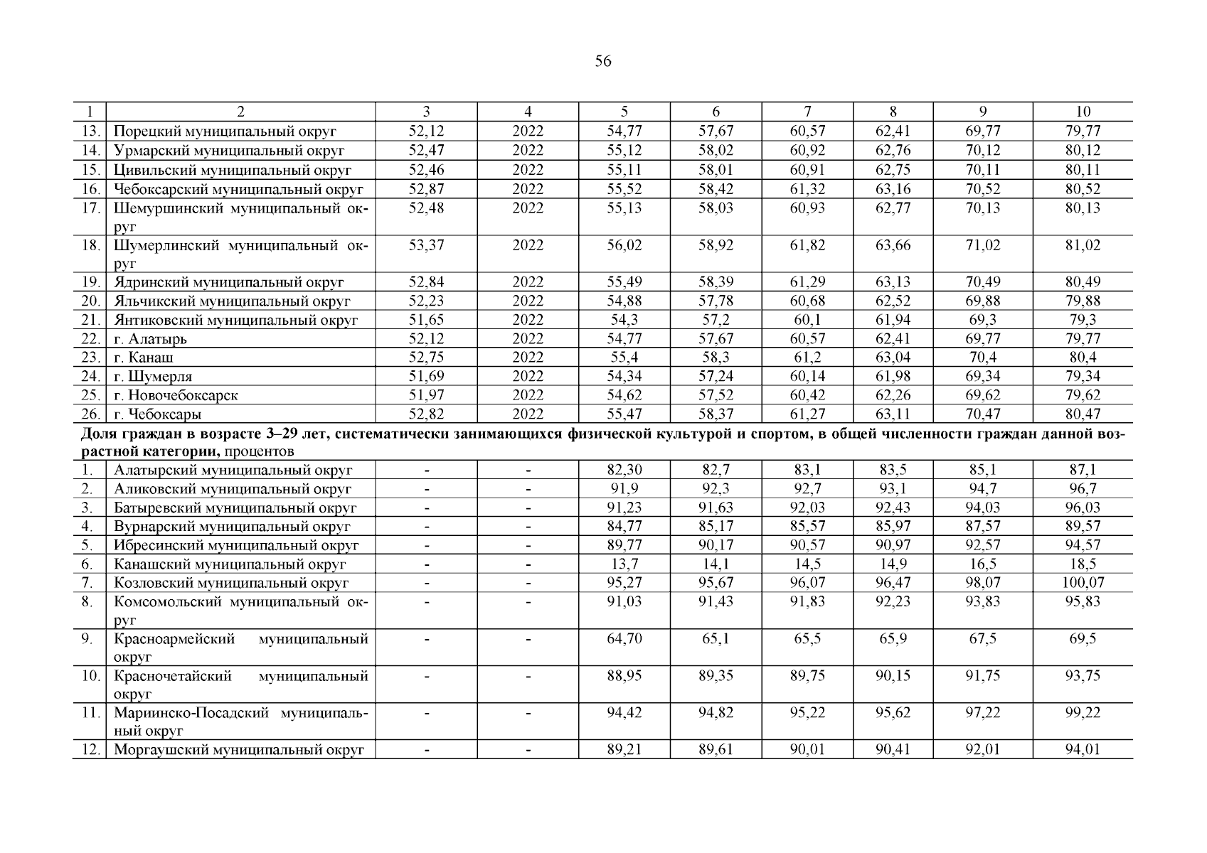
Постановление Кабинета Министров Чувашской Республики от 21.12.2023 № 821
"О внесении изменений в государственную программу Чувашской Республики "Развитие физической культуры и спорта"
Номер опубликования: 2100202312250010
Дата опубликования: 25.12.2023
Страница №57 из 141:
Увеличить