Официальное опубликование правовых актов
ОФИЦИАЛЬНОЕ ОПУБЛИКОВАНИЕ
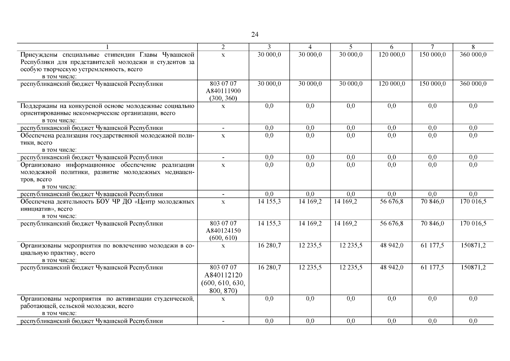
Постановление Кабинета Министров Чувашской Республики от 13.12.2023 № 794
"О государственной программе Чувашской Республики "Молодежь Чувашской Республики"
Номер опубликования: 2100202312180007
Дата опубликования: 18.12.2023
Страница №25 из 55:
Увеличить