Официальное опубликование правовых актов
ОФИЦИАЛЬНОЕ ОПУБЛИКОВАНИЕ
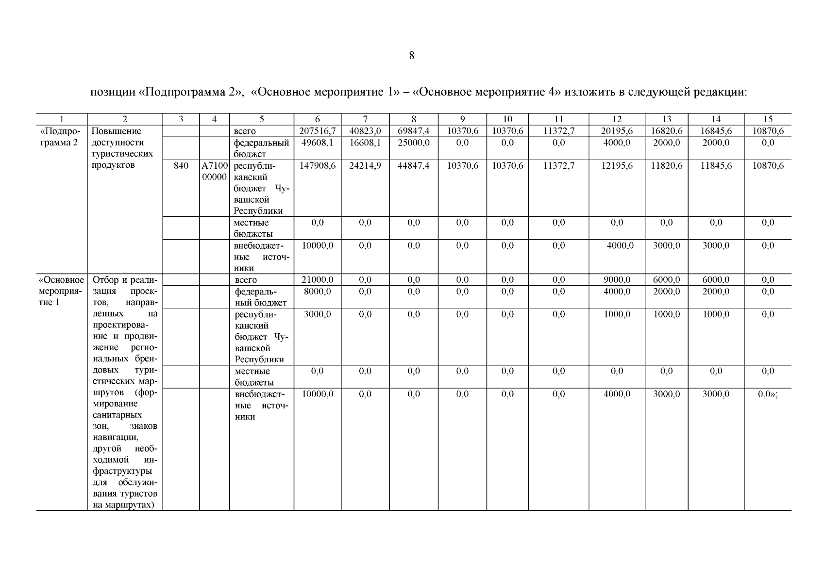
Постановление Кабинета Министров Чувашской Республики от 12.12.2023 № 777
"О внесении изменений в государственную программу Чувашской Республики "Развитие туризма и индустрии гостеприимства"
Номер опубликования: 2100202312140006
Дата опубликования: 14.12.2023
Страница №9 из 49:
Увеличить