Официальное опубликование правовых актов
ОФИЦИАЛЬНОЕ ОПУБЛИКОВАНИЕ
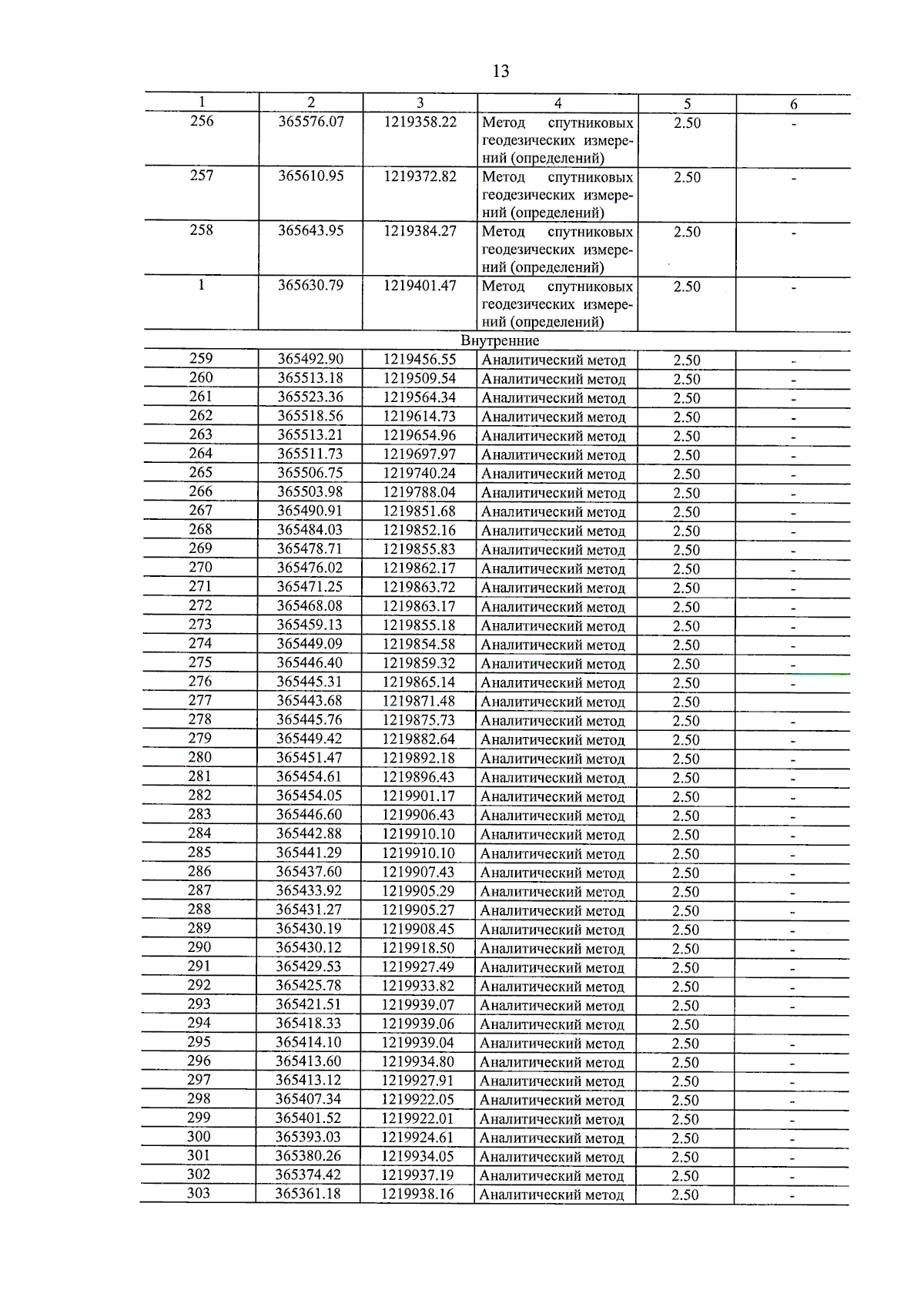
Указ Главы Чувашской Республики от 04.12.2023 № 185
"Об охранных зонах памятников природы регионального значения"
Номер опубликования: 2100202312060002
Дата опубликования: 06.12.2023
Страница №38 из 52:
Увеличить