Официальное опубликование правовых актов
ОФИЦИАЛЬНОЕ ОПУБЛИКОВАНИЕ
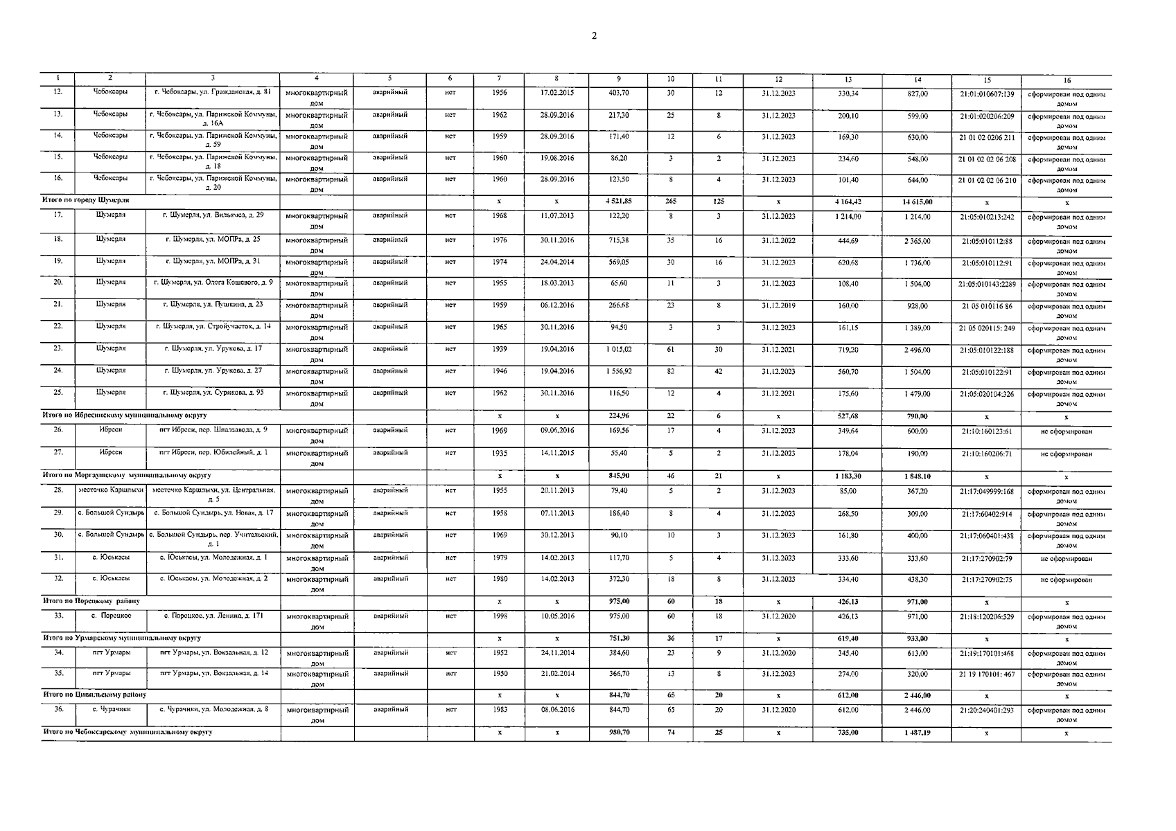
Постановление Кабинета Министров Чувашской Республики от 30.11.2023 № 758
"О внесении изменений в постановление Кабинета Министров Чувашской Республики от 28 марта 2019 г. № 92"
Номер опубликования: 2100202312040002
Дата опубликования: 04.12.2023
Страница №6 из 11:
Увеличить