Официальное опубликование правовых актов
ОФИЦИАЛЬНОЕ ОПУБЛИКОВАНИЕ
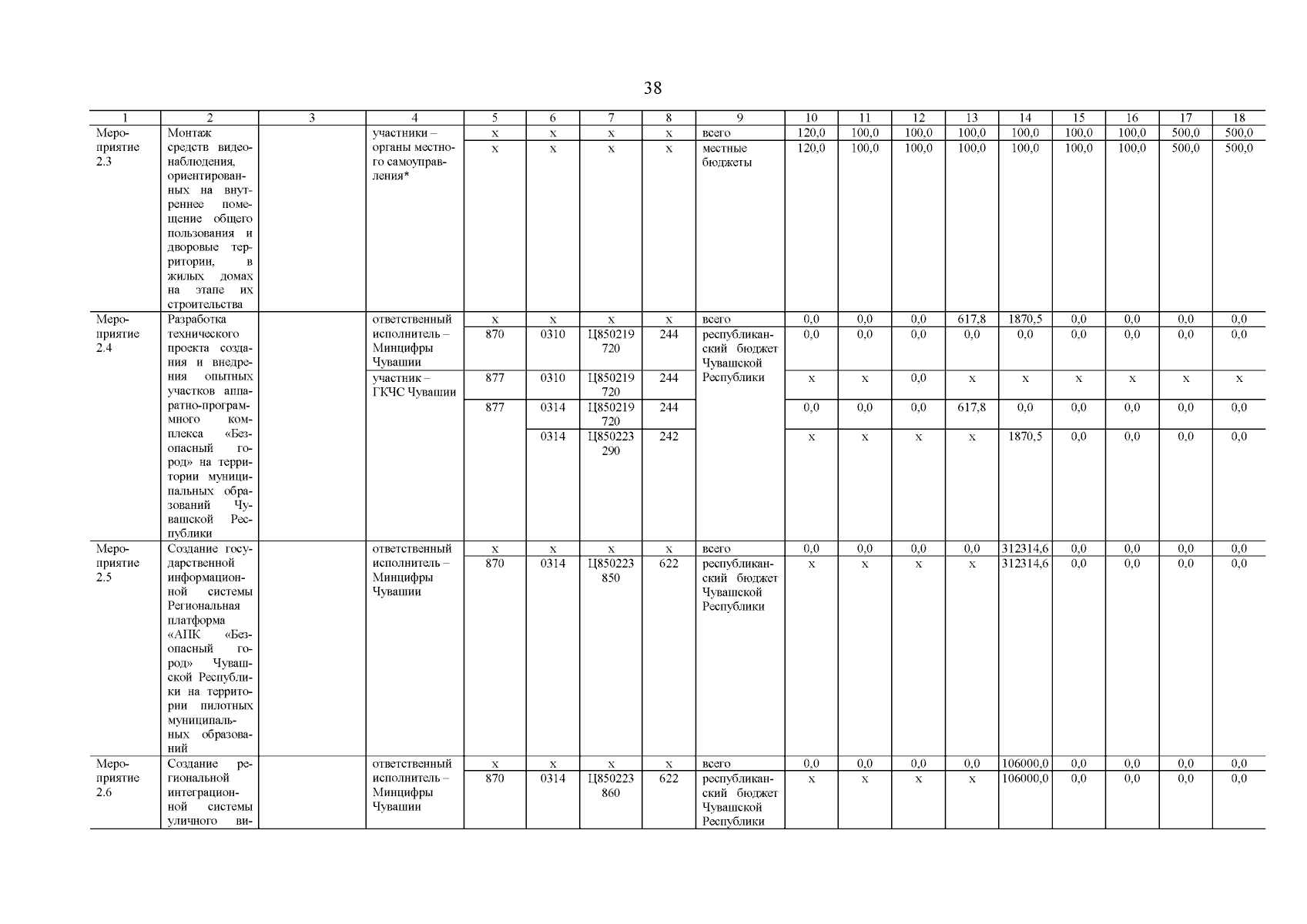
Постановление Кабинета Министров Чувашской Республики от 22.11.2023 № 745
"О внесении изменений в государственную программу Чувашской Республики "Повышение безопасности жизнедеятельности населения и территорий Чувашской Республики"
Номер опубликования: 2100202311230001
Дата опубликования: 23.11.2023
Страница №39 из 41:
Увеличить