Официальное опубликование правовых актов
ОФИЦИАЛЬНОЕ ОПУБЛИКОВАНИЕ
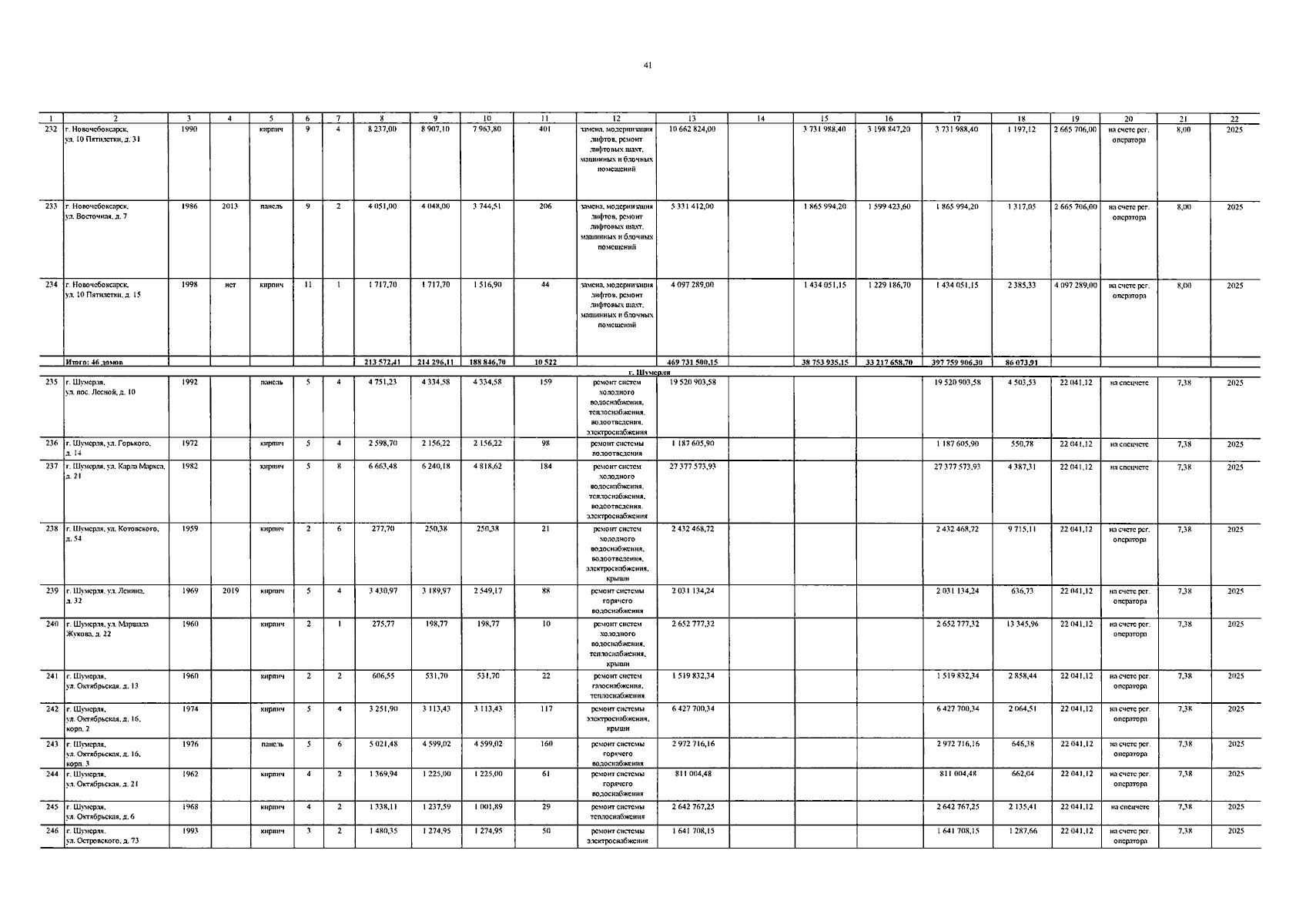
Постановление Кабинета Министров Чувашской Республики от 13.09.2023 № 579
"Об утверждении республиканского краткосрочного плана реализации в 2024–2026 годах Республиканской программы капитального ремонта общего имущества в многоквартирных домах, расположенных на территории Чувашской Республики, на 2014–2055 годы"
Номер опубликования: 2100202309140009
Дата опубликования: 14.09.2023
Страница №46 из 131:
Увеличить