Официальное опубликование правовых актов
ОФИЦИАЛЬНОЕ ОПУБЛИКОВАНИЕ
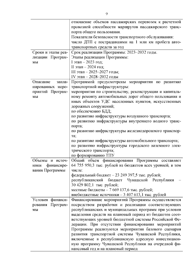
Постановление Кабинета Министров Чувашской Республики от 29.06.2023 № 450
"Об утверждении Программы комплексного развития транспортной инфраструктуры Чувашской Республики на период до 2032 года и Программы комплексного развития транспортной инфраструктуры Чебоксарской городской агломерации на период до 2032 года"
Номер опубликования: 2100202307070009
Дата опубликования: 07.07.2023
Страница №10 из 1104:
Увеличить