Официальное опубликование правовых актов
ОФИЦИАЛЬНОЕ ОПУБЛИКОВАНИЕ
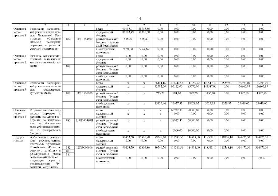
Постановление Кабинета Министров Чувашской Республики от 22.06.2023 № 420
"О внесении изменений в государственную программу Чувашской Республики "Развитие сельского хозяйства и регулирование рынка сельскохозяйственной продукции, сырья и продовольствия Чувашской Республики"
Номер опубликования: 2100202306260005
Дата опубликования: 26.06.2023
Страница №15 из 62:
Увеличить