Официальное опубликование правовых актов
ОФИЦИАЛЬНОЕ ОПУБЛИКОВАНИЕ
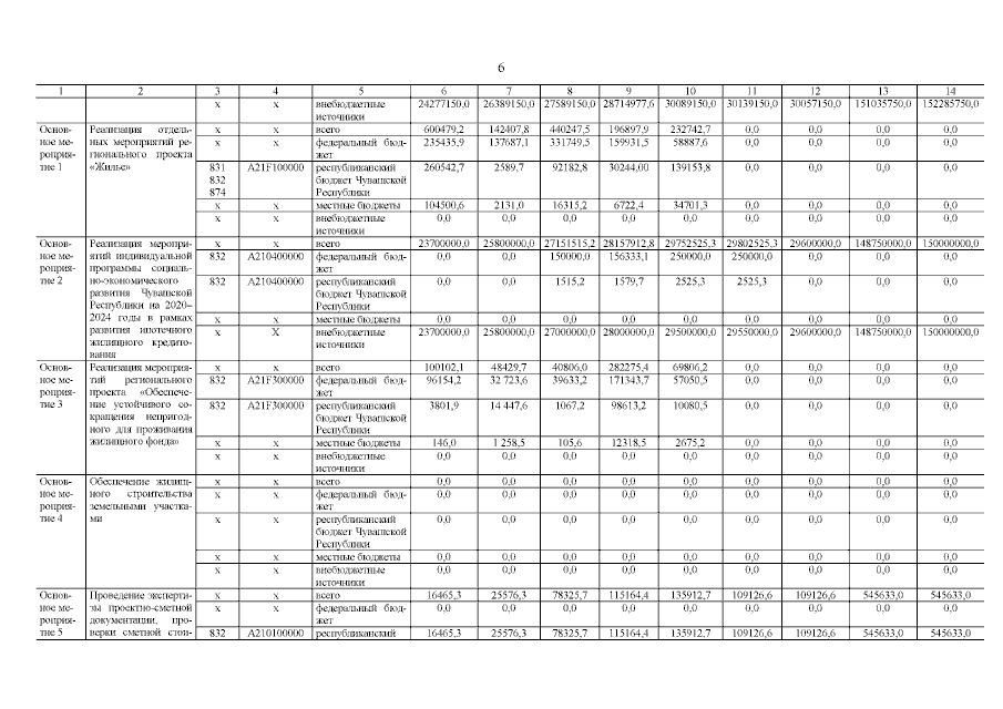
Постановление Кабинета Министров Чувашской Республики от 31.05.2023 № 366
"О внесении изменений в государственную программу Чувашской Республики "Обеспечение граждан в Чувашской Республике доступным и комфортным жильем"
Номер опубликования: 2100202306050004
Дата опубликования: 05.06.2023
Страница №7 из 47:
Увеличить