Официальное опубликование правовых актов
ОФИЦИАЛЬНОЕ ОПУБЛИКОВАНИЕ
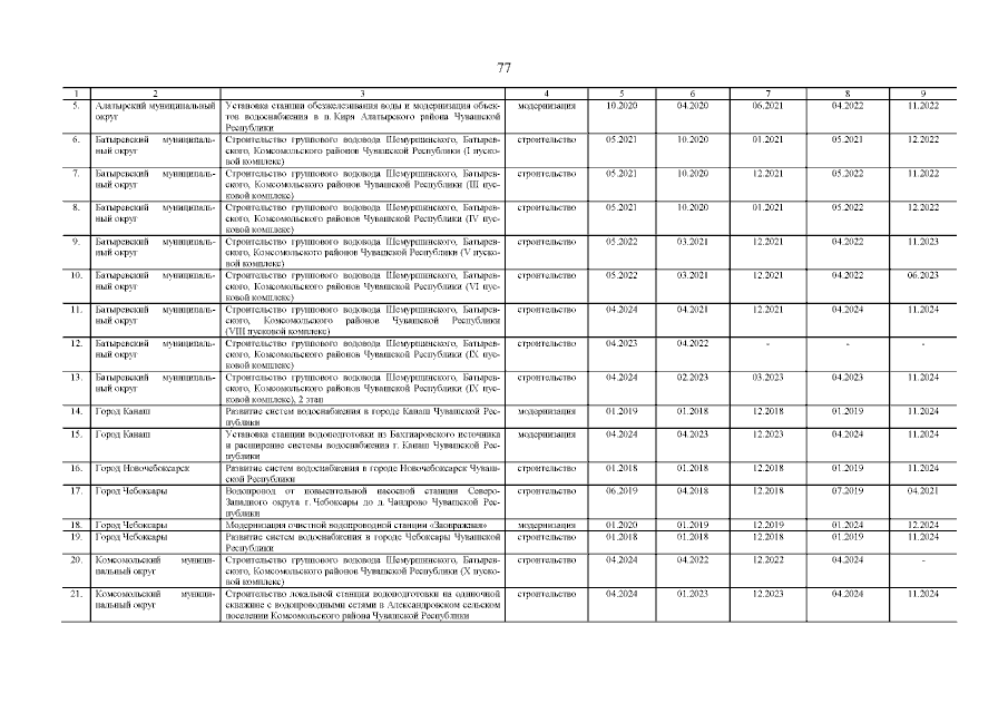
Постановление Кабинета Министров Чувашской Республики от 29.05.2023 № 361
"О внесении изменений в государственную программу Чувашской Республики "Модернизация и развитие сферы жилищно-коммунального хозяйства"
Номер опубликования: 2100202306010006
Дата опубликования: 01.06.2023
Страница №78 из 744:
Увеличить