Официальное опубликование правовых актов
ОФИЦИАЛЬНОЕ ОПУБЛИКОВАНИЕ
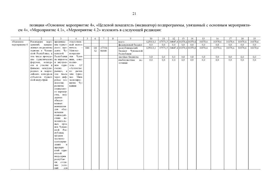
Постановление Кабинета Министров Чувашской Республики от 24.05.2023 № 346
"О внесении изменений в государственную программу Чувашской Республики "Развитие туризма и индустрии гостеприимства"
Номер опубликования: 2100202305240021
Дата опубликования: 24.05.2023
Страница №22 из 24:
Увеличить