Официальное опубликование правовых актов
ОФИЦИАЛЬНОЕ ОПУБЛИКОВАНИЕ
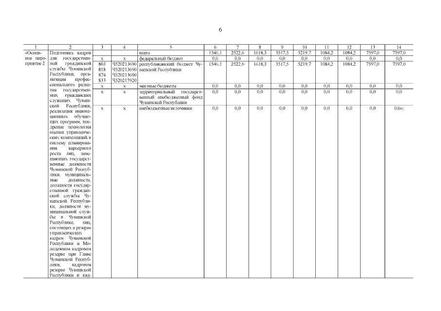
Постановление Кабинета Министров Чувашской Республики от 10.05.2023 № 309
"О внесении изменений в государственную программу Чувашской Республики "Развитие потенциала государственного управления"
Номер опубликования: 2100202305110018
Дата опубликования: 11.05.2023
Страница №7 из 54:
Увеличить