Официальное опубликование правовых актов
ОФИЦИАЛЬНОЕ ОПУБЛИКОВАНИЕ
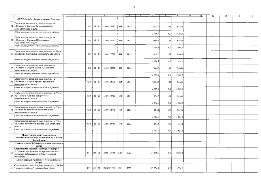
Постановление Кабинета Министров Чувашской Республики от 18.04.2023 № 247
"О внесении изменения в Республиканскую адресную инвестиционную программу на 2023 год и на плановый период 2024 и 2025 годов"
Номер опубликования: 2100202304200001
Дата опубликования: 20.04.2023
Страница №6 из 33:
Увеличить