Официальное опубликование правовых актов
ОФИЦИАЛЬНОЕ ОПУБЛИКОВАНИЕ
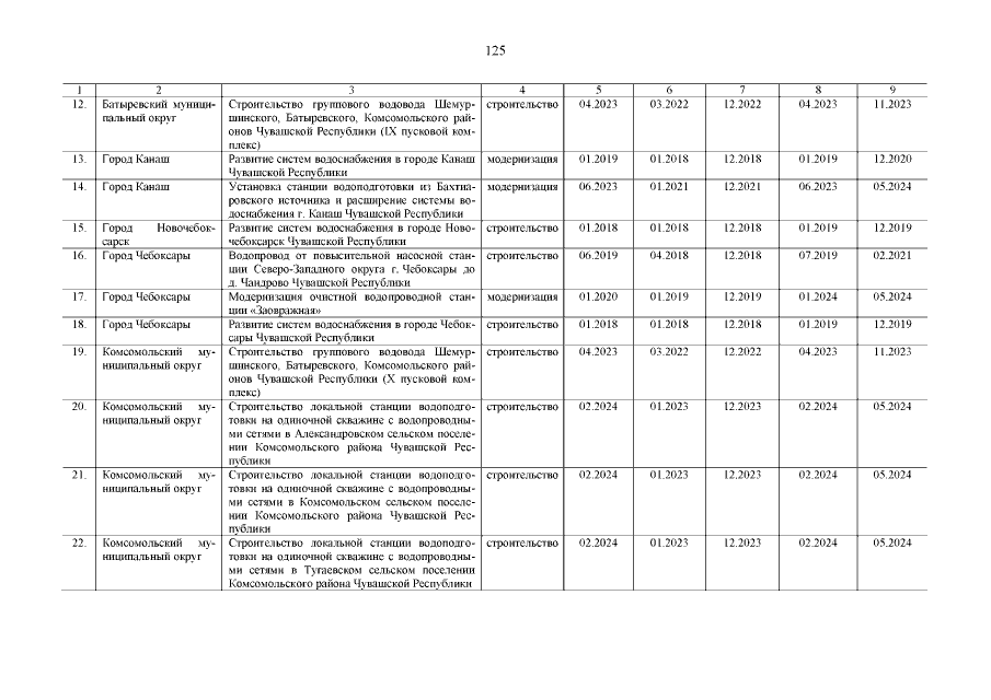
Постановление Кабинета Министров Чувашской Республики от 30.12.2022 № 790
"О внесении изменений в государственную программу Чувашской Республики "Модернизация и развитие сферы жилищно-коммунального хозяйства"
Номер опубликования: 2100202301060020
Дата опубликования: 06.01.2023
Страница №126 из 589:
Увеличить