Официальное опубликование правовых актов
ОФИЦИАЛЬНОЕ ОПУБЛИКОВАНИЕ
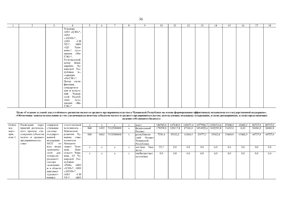
Постановление Кабинета Министров Чувашской Республики от 30.12.2022 № 795
"О внесении изменений в государственную программу Чувашской Республики "Экономическое развитие Чувашской Республики"
Номер опубликования: 2100202301060014
Дата опубликования: 06.01.2023
Страница №37 из 99:
Увеличить