Официальное опубликование правовых актов
ОФИЦИАЛЬНОЕ ОПУБЛИКОВАНИЕ
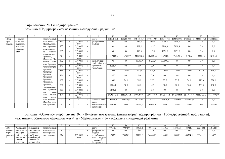
Постановление Кабинета Министров Чувашской Республики от 12.10.2022 № 518
"О внесении изменений в государственную программу Чувашской Республики "Развитие образования"
Номер опубликования: 2100202210140005
Дата опубликования: 14.10.2022
Страница №29 из 67:
Увеличить