Официальное опубликование правовых актов
ОФИЦИАЛЬНОЕ ОПУБЛИКОВАНИЕ
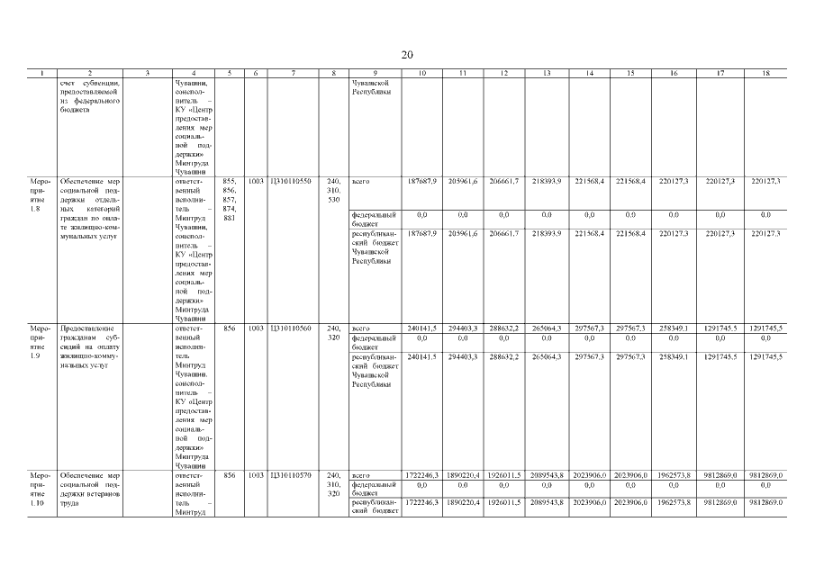
Постановление Кабинета Министров Чувашской Республики от 01.07.2022 № 305
"О внесении изменений в государственную программу Чувашской Республики "Социальная поддержка граждан"
Номер опубликования: 2100202207050001
Дата опубликования: 05.07.2022
Страница №21 из 89:
Увеличить