Официальное опубликование правовых актов
ОФИЦИАЛЬНОЕ ОПУБЛИКОВАНИЕ
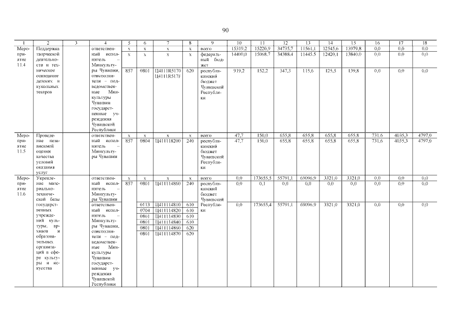
Постановление Кабинета Министров Чувашской Республики от 20.12.2021 № 678
"О внесении изменений в постановление Кабинета Министров Чувашской Республики от 26 октября 2018 г. № 434"
Номер опубликования: 2100202112270007
Дата опубликования: 27.12.2021
Страница №91 из 242:
Увеличить