Официальное опубликование правовых актов
ОФИЦИАЛЬНОЕ ОПУБЛИКОВАНИЕ
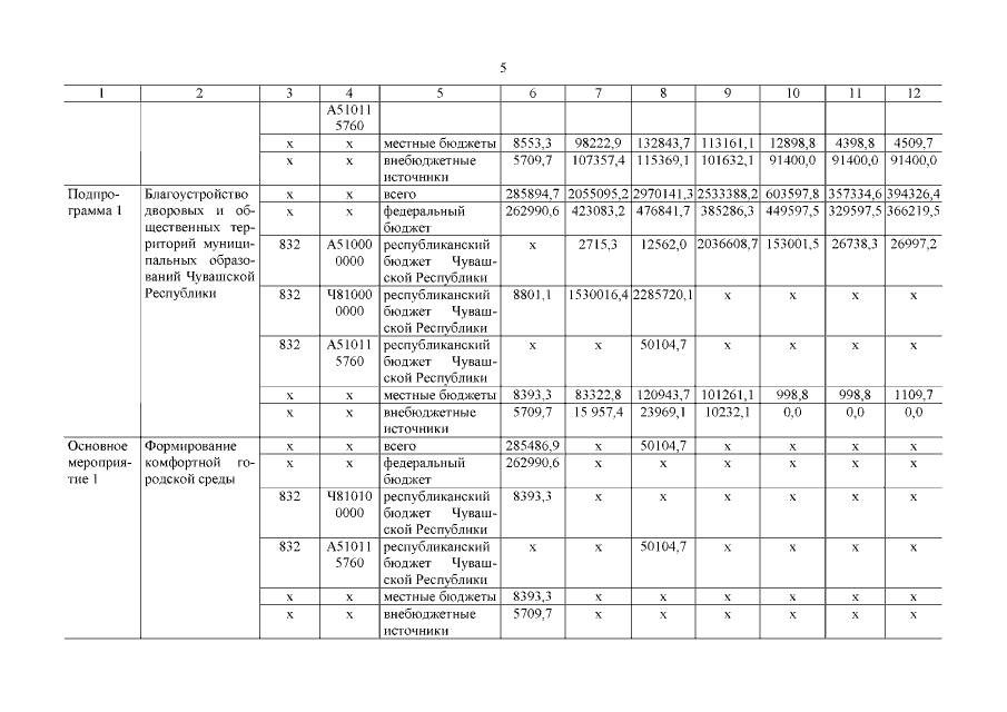
Постановление Кабинета Министров Чувашской Республики от 07.12.2021 № 623
"О внесении изменений в государственную программу Чувашской Республики "Формирование современной городской среды на территории Чувашской Республики" на 2018–2024 годы"
Номер опубликования: 2100202112100003
Дата опубликования: 10.12.2021
Страница №6 из 31:
Увеличить