Официальное опубликование правовых актов
ОФИЦИАЛЬНОЕ ОПУБЛИКОВАНИЕ
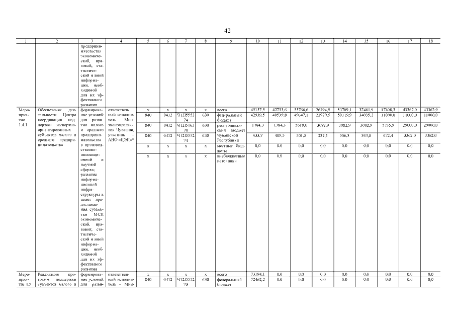
Постановление Кабинета Министров Чувашской Республики от 10.11.2021 № 571
"О внесении изменений в государственную программу Чувашской Республики "Экономическое развитие Чувашской Республики"
Номер опубликования: 2100202111120014
Дата опубликования: 12.11.2021
Страница №43 из 105:
Увеличить