Официальное опубликование правовых актов
ОФИЦИАЛЬНОЕ ОПУБЛИКОВАНИЕ
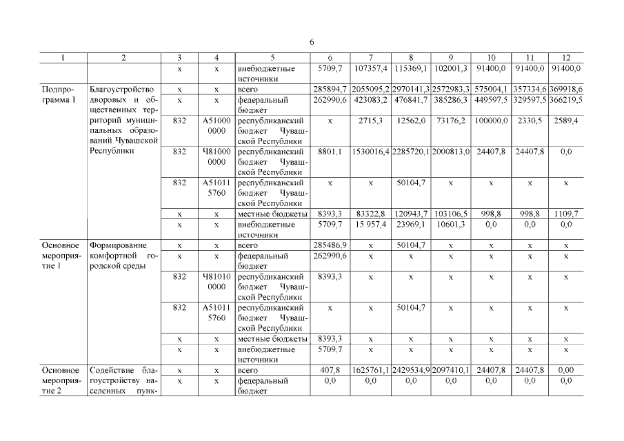
Постановление Кабинета Министров Чувашской Республики от 25.10.2021 № 523
"О внесении изменений в государственную программу Чувашской Республики "Формирование современной городской среды на территории Чувашской Республики" на 2018–2024 годы"
Номер опубликования: 2100202110260005
Дата опубликования: 26.10.2021
Страница №7 из 69:
Увеличить