Официальное опубликование правовых актов
ОФИЦИАЛЬНОЕ ОПУБЛИКОВАНИЕ
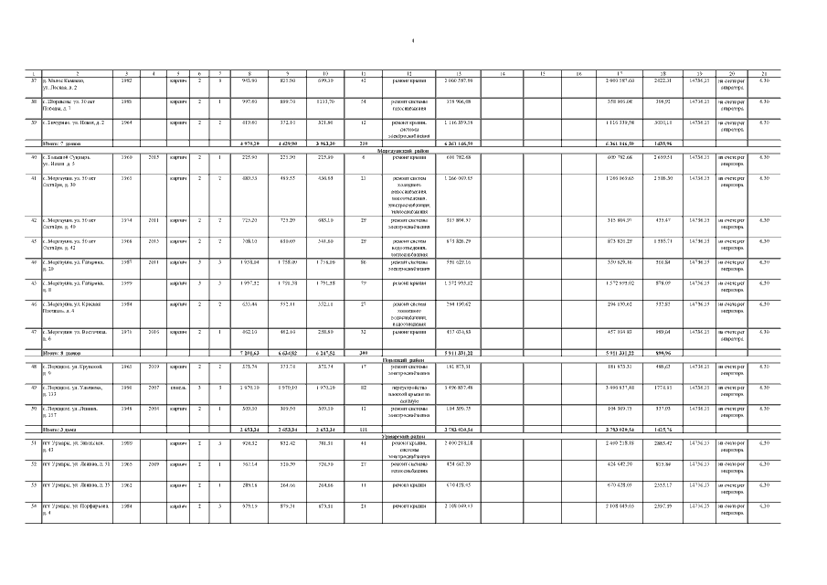
Постановление Кабинета Министров Чувашской Республики от 02.09.2021 № 417
"О внесении изменений в постановление Кабинета Министров Чувашской Республики от 25 октября 2017 г. № 429"
Номер опубликования: 2100202109020001
Дата опубликования: 02.09.2021
Страница №6 из 110:
Увеличить