Официальное опубликование правовых актов
ОФИЦИАЛЬНОЕ ОПУБЛИКОВАНИЕ
Постановление Кабинета Министров Чувашской Республики от 30.06.2021 № 291
"О программе Чувашской Республики "Борьба с сердечно-сосудистыми заболеваниями"
Номер опубликования: 2100202107070003
Дата опубликования: 07.07.2021
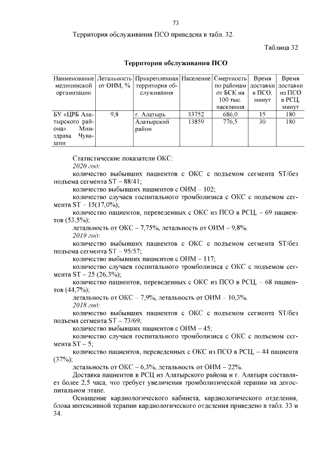
Страница №74 из 238:
Увеличить