Официальное опубликование правовых актов
ОФИЦИАЛЬНОЕ ОПУБЛИКОВАНИЕ
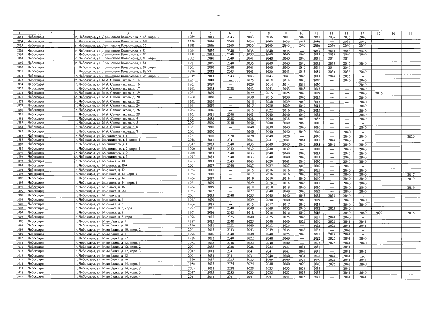
Постановление Кабинета Министров Чувашской Республики от 23.06.2021 № 281
"О внесении изменений в постановление Кабинета Министров Чувашской Республики от 14 марта 2014 г. № 77"
Номер опубликования: 2100202106280024
Дата опубликования: 28.06.2021
Страница №72 из 98:
Увеличить